CITForum Море(!) аналитической информации!
IT-консалтинг Software Engineering Программирование СУБД Безопасность Internet Сети ОС Hardware












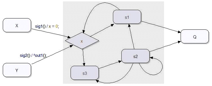
Рис. 8 Общий вид конечного автомата, удовлетворяющего условию выделения метода