CITForum Море(!) аналитической информации!
IT-консалтинг Software Engineering Программирование СУБД Безопасность Internet Сети ОС Hardware
2001 г

Некоторые вопросы сбора и обработки информации для принятия управленческих решений на химическом предприятии.

Д. В. Ширяев, В. Р. Аншелес, В. Н. Мочалин.
ОАО "Череповецкий "Азот", Череповецкий Государственный Университет

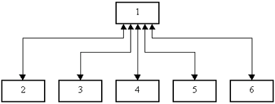
Существующий подход к сбору информации для принятия управленческих решений, реализованный на многих предприятиях химической отрасли, носит "функциональный" характер и понимается соответственно как функция от информационного окружения, т.е. существуют базы данных внутренней и внешней информации, которую собрали и порой используют для принятия решения функциональные службы. Так, например, отдел сбыта ОАО "Череповецкий "Азот" собирает информацию о контактах с клиентами, о сделках и услугах; служба маркетинга готовит обзоры тенденций рынка и изменений вкусов потребителей; технический отдел и инвестиций собирает информацию о новых производственных идеях и готовит данные и расчеты для инвестиционных проектов; производственники собирают информацию о возможностях обновления производства и совершенствования выпускаемой продукции; служба информации готовит обзоры новинок программного обеспечения и информационного оборудования; отдел кадров и соцобеспечения отслеживает изменения в составе рабочей силы и в возможностях найма. Каковы недостатки данного подхода помимо того, что на предприятии стратегическое мышление замкнуто границами этих изолированных баз данных, которые используют определенные группы сотрудников для выработки предложений о направлении развития компании и разработки стратегий, ведущих к успеху. Во-первых, эти базы данных отражают функциональный подход к деятельности предприятия, а не широкое управленческое понимание бизнеса. Во-вторых, истолкование собранных данных находится под влиянием предрассудков и запретов, сковано шаблонами представлений о прежних факторах успеха. В-третьих, специалисты служб планирования, финансового обеспечения, маркетинга, информационных и других технических служб продолжают действовать исключительно как получатели и хранители информации.

Таким образом, на предприятии вся информационная деятельность нацелена на одностороннее и узкое обслуживание руководства организации и редко используется для информационного обеспечения других этажей управления в целях подготовки оптимальных в целом управленческих решений. Это характерно для многих предприятий, перешедших от плановой экономики к рыночной в результате приватизации, таких как ОАО "Череповецкий "Азот". Схема информационных потоков в такой организации представлена на рисунке 1.

Рис.1 Существующая схема организации информационных потоков: 1 - управление организацией, 2-6 - подразделения организации

Для организации современной бизнес-деятельности необходима такая реорганизация информационных потоков, которая обеспечивает информационную достаточность и четкость во взаимном информационном обеспечении отдельных подразделений с целью выработки оптимального для фирмы решения. Но организация такой информационной системы на современном уровне возможна лишь на основе создания современного управленческого учета, система и задачи которого изложены далее.

Система и задачи управленческого учета

Задачи, решаемые при создании системы подготовки информации для принятия управленческих решений, находят свое отражение в управленческом учете. Перед предприятием стоит задача организации такого учета.

Под управленческим учетом мы будем понимать систему выявления, сбора и агрегирования учетных данных, направленную на решение конкретной управленческой задачи.

Следует отметить, что существуют [1] различные подходы к определению понятия "управленческий учет". Русский термин "Управленческий учет" восходит к английскому термину "Managerial accounting" и к его европейскому аналогу: "контроллинг". Эти два термина не являются полностью эквивалентными и отражают два подхода к пониманию термина "управленческий учет", которые можно охарактеризовать следующим образом:

  • первый рассматривает управленческий учет как систему сбора и интерпретации информации о затратах, издержках и себестоимости продукции, что ближе к термину "контроллинг", при этом большее внимание уделяется нормативному характеру подобной информации и ее значению для получения "внешней отчетности" предприятия. Кстати, термин контроллинг не случайно является однокоренным со словом "контроль", что подчеркивает связь учета с управлением. Упрощенно можно считать, что это расширенная система организации учета для целей контроля за деятельностью предприятия.
  • второй подход исходит из того, что основная задача любой учетной деятельности - обеспечение управленческого персонала предприятия своевременной и полной информацией для принятия управленческих решений, и что имеет место "системнозависимый" характер учетной деятельности, то есть тесная, точнее неразрывная связь технологий учета с технологиями управления компанией в целом и/или ее частями. Такой подход соответствует понятию "Managerial accounting", который может быть переведен следующей фразой "организация учета, исходя из потребностей управления". При таком подходе к понятию "управленческий учет" относятся не только система сбора и анализа информации об издержках предприятия, но и система управления бюджетами (то есть планирования) и система оценки деятельности подразделений, то есть более управленческие, нежели бухгалтерские технологии. Существует также более узкая трактовка данного понятия, при которой под "Managerial accounting" понимается формирование специальных отчетов из имеющихся бухгалтерских данных для целей поддержки принятия решений. В данном случае необходимо понимать, что получить указанные отчеты можно только при наличии соответствующей информации в учетных регистрах. По умолчанию (!) считается, что используемая система бухгалтерского учета (западная) устроена таким образом, что такие отчеты получить возможно, ниже мы еще вернемся к вопросу о том, как должна быть для этого устроена, по нашему мнению, любая система учета (в том числе бухгалтерская) с точки зрения получения корректной информации.

Как в первом, так и во втором случае можно констатировать, что в современном развитии западных источников термина "управленческий учет" центр тяжести все более и более переносится на слово "управленческий", что связано с тем, что методика и технология организации учета все более и более определятся именно управленческой задачей, стоящей перед предприятием. При этом полезно вспомнить, что собственно учет и анализ издержек с целью их снижения и оптимизации является простейшей и самой очевидной формой организации управления коммерческой структурой. Однако, при решении данной задачи недостаточно для определения форм и методов учета руководствоваться только требованиями финансовой или налоговой оптимизации деятельности, а необходимо учитывать и требования технологии основной деятельности, которые, как правило, серьезно влияют на конечный результат. В частности, например, стандартные требования не учитывают необходимость регистрации времени выписки документов на отпуск товара. В то же время временной анализ деятельности отдела сбыта может позволить существенно снизить издержки за счет оптимизации количества персонала с учетом сезонности, или повысить отгрузку путем введения сменности. Или, например, управление и оперативный анализ "ликвидности" дебиторской и кредиторской задолженности - весьма эффективное средство повышения общих финансовых результатов. Но для проведения подобного анализа необходимо ввести детальные учетные регистры, в частности иметь "сквозной" учет и анализ кредиторов и дебиторов.

Таким образом, в связи с необходимостью изменения учетной информации для целей управления на смену "нормативному или налоговому" учету вполне естественно приходит учет управленческий, который в действительности существовал всегда, даже в нашей коммерческой практике, правда, назывался ранее достаточно неаппетитно: "черным". Причем методика его использования точно соответствовала методике использования данных "управленческого учета": на базе черных данных принимались решения, прогнозировались финансовые результаты, а затем на основании этих же решений и результатов формировался "белый учет".

Иерархия систем управленческого учета

В отечественной литературе практически не освящены вопросы классификации систем управленческого учета, за исключением некоторых аспектов финансового управленческого учета.

В то же время создание на предприятии системы управленческого учета практически невозможно без правильной классификации процессов и технологий в соответствии с систематикой управленческого учета, что позволит выработать правильную методологию учета затрат, определения результатов деятельности подразделения, да и наконец, просто определения системы управленческой отчетности подразделения.

В общем виде схема генерации управленческого учета представлена на рисунке 2 [1].

Рис.2 Схема генерации управленческого учета

Из рисунка видно, что в основе управленческого учета лежат три источника:

  • технология бизнеса в целом и конкретного вида деятельности в частности;
  • учетная политика предприятия и правила бухучета конкретного вида деятельности;
  • нормативная база конкретного вида бизнеса.

На их основе формируется собственно управленческий учет, который представляет собой систему организации, сбора и агрегирования данных о конкретной управленческой задаче. После завершения процесса формирования управленческого учета формируется "внешний интерфейс управленческого учета", состоящий из трех тесно взаимосвязанных систем (трех составных частей):

  • учета затрат (интерфейс с финансами);
  • показателей деятельности (интерфейс с регулярным менеджментом);
  • управленческих отчетов (интерфейс с системой принятия решений).

Если "источники" управленческого учета реже подвергаются сомнению, то "составные части" очень часто забываются, будучи сведенными к единственной: системе учета затрат, чего на практике явно оказывается недостаточно, для сколь-нибудь сложных бизнес-систем. При этом надо отметить, что как показатели деятельности, так и управленческие отчеты могут иметь нефинансовый характер, отражая специфику деятельности подразделения. Типичным примером такого отчета служит, например отчет о движении товаров по складу, который предназначен для принятия решений о времени и размерах закупок, но может не содержать информации о ценах (информация о рекомендованных ценах закупки может прийти совсем с другой стороны - например, из отдела маркетинга или планово-экономической службы, который определяет ее исходя из рекомендованной цены продажи готового изделия и состояния рынка комплектующих). Соответственно показателем деятельности складской службы может быть некоторый коэффициент соответствия уровня запасов рекомендованному "оптимальному уровню". Такого же рода "нефинансовые", но, тем не менее, очень важные, а часто и определяющие показатели деятельности имеются практически у всех подразделений. Более того, можно утверждать, что принцип "не все измеряется деньгами" - это тоже один из принципов управления бизнесом.

В соответствии с вышеприведенной схемой можно классифицировать управленческий учет, как по источникам, так и по составным частям, однако легко видеть, что объединить ту и другую систему классификации может вид бизнес-процесса, на который должна быть наложена система управленческого учета.

Очевидным является и тот факт, что в зависимости от того, в какой сфере экономики работает предприятие, его требования к видам учета и управления также будет различны. На рисунке 3 в виде диаграммы представлены требования учета и управления в зависимости от величины и способа организации предприятия [2].

Рис.3 Требования учета и управления в зависимости от величины и способа организации предприятия

Реализация потребности управлять и принимать решения является доминирующей мотивацией и играет императивную роль в принятии решения о создании системы подготовки информации для принятия управленческих решений.

Всякая социальная организация обладает своим внутренним движением и внутренними тенденциями развития, определяемыми в общем необходимостью для нее быть подготовленной к реализации внешних требований.

Наиболее рациональной, на наш взгляд, представляется система организации информационных потоков, представленная на рисунке 4, где показана возможность передачи информации не только через руководящий орган, но и непосредственно между подразделениями.

Рис. 4 Диаграмма информационных потоков, модифицированной системы управления деятельностью компании: 1 - управление компанией, 2-6 - подразделения компании

После построения и описания бизнес - процессов, представленных на рисунке 4 переходят к автоматизации. Это связано с тем, что описание бизнес - процесса еще не означает управление им. Корпоративная информационная система (КИС) компании должна обеспечивать поддержку непрерывной регистрации транзакций, накопление статистики и обработку базы накопленных данных. Используя весь массив информации менеджеры компании смогут осуществлять оперативный контроль за функционированием продуктовых подразделений компании, анализировать события, и при необходимости усовершенствовать бизнес - процессы. Например, в случае появления данных о нарушении порядка и сроков отгрузки продукции подразделениями компании, в подразделении сбыта направляется сигнал к тестированию системы логистики отгрузок продуктов, ревизии бизнес - процессов "сбыт продуктов (опт) и (розница)", выявлению "слабых мест" в протекании бизнес - процесса и их устранению.

Созданная таким образом корпоративная система сбора и обработки информации позволяет избавиться от "валюнтариского" подхода к принятию управленческих решений, сделать их обоснованными рыночными условиями при их принятии и реализовать конкретных контроль последствий их реализации.

Список литературы

  1. Управленческий учет. Современный подход. //Электронный вестник "ERP в России" - Interface Ltd, http://www.erp.boom.ru/general/Articles/Articles_2.htm;
  2. Карпачев И. О стилях и классах (реальность и мифология компьютерных систем управления предприятием). - Interface Ltd, http://www.interface.ru.

 

IT-консалтинг Software Engineering Программирование СУБД Безопасность Internet Сети ОС Hardware

CITForum © 1997–2025