CITForum Море(!) аналитической информации!
IT-консалтинг Software Engineering Программирование СУБД Безопасность Internet Сети ОС Hardware

4.5. Концептуальные модели и схемы баз данных

Широкое распространение реляционных СУБД и их использование в самых разнообразных приложениях показывает, что реляционная модель данных достаточна для моделирования предметных областей. Однако проектирование реляционной базы данных в терминах отношений на основе кратко рассмотренного нами механизма нормализации часто представляет собой очень сложный и неудобный для проектировщика процесс.

При этом проявляется ограниченность реляционной модели данных в следующих аспектах:

  • Модель не предоставляет достаточных средств для представления смысла данных. Семантика реальной предметной области должна независимым от модели способом представляться в голове проектировщика. В частности, это относится к упоминавшейся нами проблеме представления ограничений целостности.
  • Для многих приложений трудно моделировать предметную область на основе плоских таблиц. В ряде случаев на самой начальной стадии проектирования проектировщику приходится производить насилие над собой, чтобы описать предметную область в виде одной (возможно, даже ненормализованной) таблицы.
  • Хотя весь процесс проектирования происходит на основе учета зависимостей, реляционная модель не предоставляет каких-либо средств для представления этих зависимостей. Несмотря на то, что процесс проектирования начинается с выделения некоторых существенных для приложения объектов предметной области ("сущностей") и выявления связей между этими сущностями, реляционная модель данных не предлагает какого-либо аппарата для разделения сущностей и связей.

Потребности проектировщиков баз данных в более удобных и мощных средствах моделирования предметной области вызвали к жизни направление семантических моделей данных. При том, что любая развитая семантическая модель данных, как и реляционная модель, включает структурную, манипуляционную и целостную части, главным назначением семантических моделей является обеспечение возможности выражения семантики данных.

Прежде, чем мы коротко рассмотрим особенности одной из распространенных семантических моделей, остановимся на их возможных применениях.

Наиболее часто на практике семантическое моделирование используется на первой стадии проектирования базы данных. При этом в терминах семантической модели производится концептуальная схема базы данных, которая затем вручную преобразуется к реляционной (или какой-либо другой) схеме. Этот процесс выполняется под управлением методик, в которых достаточно четко оговорены все этапы такого преобразования.

Менее часто реализуется автоматизированная компиляция концептуальной схемы в реляционную. При этом известны два подхода: на основе явного представления концептуальной схемы как исходной информации для компилятора и построения интегрированных систем проектирования с автоматизированным созданием концептуальной схемы на основе интервью с экспертами предметной области. И в том, и в другом случае в результате производится реляционная схема базы данных в третьей нормальной форме (более точно следовало бы сказать, что автору неизвестны системы, обеспечивающие более высокий уровень нормализации).

Наконец, третья возможность, которая еще не вышла (или только выходит) за пределы исследовательских и экспериментальных проектов, - это работа с базой данных в семантической модели, т.е. СУБД, основанные на семантических моделях данных. При этом снова рассматриваются два варианта: обеспечение пользовательского интерфейса на основе семантической модели данных с автоматическим отображением конструкций в реляционную модель данных (это задача примерно такого же уровня сложности, как автоматическая компиляция концептуальной схемы базы данных в реляционную схему) и прямая реализация СУБД, основанная на какой-либо семантической модели данных. Наиболее близко ко второму подходу находятся современные объектно-ориентированные СУБД, модели данных которых по многим параметрам близки к семантическим моделям (хотя в некоторых аспектах они более мощны, а в некоторых - более слабы).

4.5.1. Диаграммное представление

Далее мы кратко рассмотрим некоторые черты одной из наиболее популярных семантических моделей данных - модель "Сущность-Связи" (часто ее называют кратко ER-моделью).

На использовании разновидностей ER-модели основано большинство современных подходов к проектированию баз данных (главным образом, реляционных). Модель была предложена Ченом (Chen) в 1976 г. Моделирование предметной области базируется на использовании графических диаграмм, включающих небольшое число разнородных компонентов. В связи с наглядностью представления концептуальных схем баз данных ER-модели получили широкое распространение в системах CASE, поддерживающих автоматизированное проектирование реляционных баз данных. Среди множества разновидностей ER-моделей одна из наиболее развитых применяется в системе CASE фирмы ORACLE. Ее мы и рассмотрим. Более точно, мы сосредоточимся на структурной части этой модели.

4.5.1.1. Основные понятия модели Entity-Relationship (Сущность-Связи)

Сущность - это реальный или представляемый объект, информация о котором должна сохраняться и быть доступна. В диаграммах ER-модели сущность представляется в виде прямоугольника, содержащего имя сущности. При этом имя сущности - это имя типа, а не некоторого конкретного экземпляра этого типа. Для большей выразительности и лучшего понимания имя сущности может сопровождаться примерами конкретных объектов этого типа.

Ниже изображена сущность АЭРОПОРТ с примерными объектами Шереметьево и Хитроу:

АЭРОПОРТ
например,
Шереметьево,
Хитроу

Каждый экземпляр сущности должен быть отличим от любого другого экземпляра той же сущности (это требование в некотором роде аналогично требованию отсутствия кортежей-дубликатов в реляционных таблицах).

Связь - это графически изображаемая ассоциация, устанавливаемая между двумя сущностями. Эта ассоциация всегда является бинарной и может существовать между двумя разными сущностями или между сущностью и ей же самой (рекурсивная связь). В любой связи выделяются два конца (в соответствии с существующей парой связываемых сущностей), на каждом из которых указывается имя конца связи, степень конца связи (сколько экземпляров данной сущности связывается), обязательность связи (т.е. любой ли экземпляр данной сущности должен участвовать в данной связи).

Связь представляется в виде линии, связывающей две сущности или ведущей от сущности к ней же самой. При это в месте "стыковки" связи с сущностью используются трехточечный вход в прямоугольник сущности, если для этой сущности в связи могут использоваться много (many) экземпляров сущности, и одноточечный вход, если в связи может участвовать только один экземпляр сущности. Обязательный конец связи изображается сплошной линией, а необязательный - прерывистой линией.

Как и сущность, связь - это типовое понятие, все экземпляры обеих пар связываемых сущностей подчиняются правилам связывания.

В изображенном ниже примере связь между сущностями БИЛЕТ и ПАССАЖИР связывает билеты и пассажиров. При том конец сущности с именем "для" позволяет связывать с одним пассажиром более одного билета, причем каждый билет должен быть связан с каким-либо пассажиром. Конец сущности с именем "имеет" означает, что каждый билет может принадлежать только одному пассажиру, причем пассажир не обязан иметь хотя бы один билет.

Лаконичной устной трактовкой изображенной диаграммы является следующая:

  • Каждый БИЛЕТ предназначен для одного и только одного ПАССАЖИРА;
  • Каждый ПАССАЖИР может иметь один или более БИЛЕТОВ.

На следующем примере изображена рекурсивная связь, связывающая сущность ЧЕЛОВЕК с ней же самой. Конец связи с именем "сын" определяет тот факт, что у одного отца может быть более чем один сын. Конец связи с именем "отец" означает, что не у каждого человека могут быть сыновья.

Лаконичной устной трактовкой изображенной диаграммы является следующая:

  • Каждый ЧЕЛОВЕК является сыном одного и только одного ЧЕЛОВЕКА;
  • Каждый ЧЕЛОВЕК может являться отцом для одного или более ЛЮДЕЙ ("ЧЕЛОВЕКОВ").

Атрибутом сущности является любая деталь, которая служит для уточнения, идентификации, классификации, числовой характеристики или выражения состояния сущности. Имена атрибутов заносятся в прямоугольник, изображающий сущность, под именем сущности и изображаются малыми буквами, возможно, с примерами.

Пример:
ЧЕЛОВЕК
имя
возраст
пол

Уникальным идентификатором сущности является атрибут, комбинация атрибутов, комбинация связей или комбинация связей и атрибутов, уникально отличающая любой экземпляр сущности от других экземпляров сущности того же типа.

4.5.1.2. Нормальные формы ER-схем

Как и в реляционных схемах баз данных, в ER-схемах вводится понятие нормальных форм, причем их смысл очень близко соответствует смыслу реляционных нормальных форм. Заметим, что формулировки нормальных форм ER-схем делают более понятным смысл нормализации реляционных схем. Мы приведем только очень краткие и неформальные определения трех первых нормальных форм.

В первой нормальной форме ER-схемы устраняются повторяющиеся атрибуты или группы атрибутов, т.е. производится выявление неявных сущностей, "замаскированных" под атрибуты.

Во второй нормальной форме устраняются атрибуты, зависящие только от части уникального идентификатора. Эта часть уникального идентификатора определяет отдельную сущность.

В третьей нормальной форме устраняются атрибуты, зависящие от атрибутов, не входящих в уникальный идентификатор. Эти атрибуты являются основой отдельной сущности.

4.5.1.3. Более сложные элементы ER-модели

Мы остановились только на самых основных и наиболее очевидных понятиях ER-модели данных. К числу более сложных элементов модели относятся следующие:

  • Подтипы и супертипы сущностей. Как в языках программирования с развитыми типовыми системами (например, в языках объектно-ориентированного программирования), вводится возможность наследования типа сущности, исходя из одного или нескольких супертипов. Интересные нюансы связаны с необходимостью графического изображения этого механизма.
  • Связи "many-to-many". Иногда бывает необходимо связывать сущности таким образом, что с обоих концов связи могут присутствовать несколько экземпляров сущности (например, все члены кооператива сообща владеют имуществом кооператива). Для этого вводится разновидность связи "многие-со-многими".
  • Уточняемые степени связи. Иногда бывает полезно определить возможное количество экземпляров сущности, участвующих в данной связи (например, служащему разрешается участвовать не более, чем в трех проектах одновременно). Для выражения этого семантического ограничения разрешается указывать на конце связи ее максимальную или обязательную степень.
  • Каскадные удаления экземпляров сущностей. Некоторые связи бывают настолько сильными (конечно, в случае связи "один-ко-многим"), что при удалении опорного экземпляра сущности (соответствующего концу связи "один") нужно удалить и все экземпляры сущности, соответствующие концу связи "многие". Соответствующее требование "каскадного удаления" можно сформулировать при определении сущности.
  • Домены. Как и в случае реляционной модели данных бывает полезна возможность определения потенциально допустимого множества значений атрибута сущности (домена).

Эти и другие более сложные элементы модели данных "Сущность-Связи" делают ее существенно более мощной, но одновременно несколько усложняют ее использование. Конечно, при реальном использовании ER-диаграмм для проектирования баз данных необходимо ознакомиться со всеми возможностями.

В нашей лекции мы немного подробнее разберем только один из упомянутых элементов - подтип сущности.

Сущность может быть расщеплена на два или более взаимно исключающих подтипа, каждый из которых включает общие атрибуты и/или связи. Эти общие атрибуты и/или связи явно определяются один раз на более высоком уровне. В подтипах могут определяться собственные атрибуты и/или связи. В принципе подтипизация может продолжаться на более низких уровнях, но опыт показывает, что в большинстве случаев оказывается достаточно двух-трех уровней.

Сущность, на основе которой определяются подтипы, называется супертипом. Подтипы должны образовывать полное множество, т.е. любой экземпляр супертипа должен относиться к некоторому подтипу. Иногда для полноты приходится определять дополнительный подтип ПРОЧИЕ.

Пример: Супертип ЛЕТАТЕЛЬНЫЙ АППАРАТ

Как полагается это читать? От супертипа: ЛЕТАТЕЛЬНЫЙ АППАРАТ, который должен быть АЭРОПЛАНОМ, ВЕРТОЛЕТОМ, ПТИЦЕЛЕТОМ или ДРУГИМ ЛЕТАТЕЛЬНЫМ АППАРАТОМ. От подтипа: ВЕРТОЛЕТ, который относится к типу ЛЕТАТЕЛЬНОГО АППАРАТА. От подтипа, который является одновременно супертипа: АЭРОПЛАН, который относится к типу ЛЕТАТЕЛЬНОГО АППАРАТА и должен быть ПЛАНЕРОМ или МОТОРНЫМ САМОЛЕТОМ.

Иногда удобно иметь два или более разных разбиения сущности на подтипы. Например, сущность ЧЕЛОВЕК может быть разбита на подтипы по профессиональному признаку (ПРОГРАММИСТ, ДОЯРКА и т.д.), а может - по половому признаку (МУЖЧИНА, ЖЕНЩИНА).

4.5.1.4. Получение реляционной схемы из ER-схемы

Шаг 1. Каждая простая сущность превращается в таблицу. Простая сущность - сущность, не являющаяся подтипом и не имеющая подтипов. Имя сущности становится именем таблицы.

Шаг 2. Каждый атрибут становится возможным столбцом с тем же именем; может выбираться более точный формат. Столбцы, соответствующие необязательным атрибутам, могут содержать неопределенные значения; столбцы, соответствующие обязательным атрибутам, - не могут.

Шаг 3. Компоненты уникального идентификатора сущности превращаются в первичный ключ таблицы. Если имеется несколько возможных уникальных идентификатора, выбирается наиболее используемый. Если в состав уникального идентификатора входят связи, к числу столбцов первичного ключа добавляется копия уникального идентификатора сущности, находящейся на дальнем конце связи (этот процесс может продолжаться рекурсивно). Для именования этих столбцов используются имена концов связей и/или имена сущностей.

Шаг 4. Связи многие-к-одному (и один-к-одному) становятся внешними ключами. Т.е. делается копия уникального идентификатора с конца связи "один", и соответствующие столбцы составляют внешний ключ. Необязательные связи соответствуют столбцам, допускающим неопределенные значения; обязательные связи - столбцам, не допускающим неопределенные значения.

Шаг 5. Индексы создаются для первичного ключа (уникальный индекс), внешних ключей и тех атрибутов, на которых предполагается в основном базировать запросы.

Шаг 6. Если в концептуальной схеме присутствовали подтипы, то возможны два способа:

  1. все подтипы в одной таблице (а)
  2. для каждого подтипа - отдельная таблица (б)

При применении способа (а) таблица создается для наиболее внешнего супертипа, а для подтипов могут создаваться представления. В таблицу добавляется по крайней мере один столбец, содержащий код ТИПА; он становится частью первичного ключа.

При использовании метода (б) для каждого подтипа первого уровня (для более нижних - представления) супертип воссоздается с помощью представления UNION (из всех таблиц подтипов выбираются общие столбцы - столбцы супертипа).
Все в одной таблицеТаблица - на подтип
Преимущества
Все хранится вместе

Легкий доступ к супертипу и подтипам

Требуется меньше таблиц

Более ясны правила подтипов

Программы работают только с нужными таблицами

Недостатки
Слишком общее решение

Требуется дополнительная логика работы с разными наборами столбцов и разными ограничениями

Потенциальное узкое место (в связи с блокировками)

Столбцы подтипов должны быть необязательными

В некоторых СУБД для хранения неопределенных значений требуется дополнительная память

Слишком много таблиц

Смущающие столбцы в представлении UNION

Потенциальная потеря производительности при работе через UNION

Над супертипом невозможны модификации

Шаг 7. Имеется два способа работы при наличии исключающих связей:

  1. общий домен (а)
  2. явные внешние ключи (б)

Если остающиеся внешние ключи все в одном домене, т.е. имеют общий формат (способ (а)), то создаются два столбца: идентификатор связи и идентификатор сущности. Столбец идентификатора связи используется для различения связей, покрываемых дугой исключения. Столбец идентификатора сущности используется для хранения значений уникального идентификатора сущности на дальнем конце соответствующей связи.

Если результирующие внешние ключи не относятся к одному домену, то для каждой связи, покрываемой дугой исключения, создаются явные столбцы внешних ключей; все эти столбцы могут содержать неопределенные значения.
Общий доменЯвные внешние ключи
Преимущества
Нужно только два столбцаУсловия соединения - явные
Недостатки
Оба дополнительных атрибута должны использоваться в соединенияхСлишком много столбцов

Альтернативные модели сущностей:

Вариант 1 (плохой)

Вариант 2 (существенно лучше, если подтипы действительно существуют)

Вариант 3 (годится при наличии осмысленного супертипа D).

4.5.2. Виды нотаций

Конечно, способ представления ER-диаграмм, используемый компанией Oracle, не является единственным. В этом подразделе мы представляем несколько других нотаций.

4.5.2.1. Case-метод Баркера

Нотация ER-диаграммы была впервые введена П. Ченом (Chen) и получила дальнейшее развитие в работах Баркера. Метод Баркера будет излагаться на примере предметной области компании по торговле автомобилями. Ниже приведены выдержки из интервью, проведенного с персоналом компании.

Главный менеджер: одна из основных обязанностей - содержание автомобильного имущества. Он должен знать, сколько заплачено за машины и каковы накладные расходы. Обладая этой информацией, он может установить нижнюю цену, за которую мог бы продать данный экземпляр. Кроме того, он несет ответственность за продавцов и ему нужно знать, кто что продает и сколько машин продал каждый из них.

Продавец: ему нужно знать, какую цену запрашивать и какова нижняя цена, за которую можно совершить сделку. Кроме того, ему нужна основная информация о машинах: год выпуска, марка, модель и т.п.

Администратор: его задача сводится к составлению контрактов, для чего нужна информация о покупателе, автомашине и продавце, поскольку именно контракты приносят продавцам вознаграждения за продажи.

Первый шаг моделирования - извлечение информации из интервью и выделение сущностей.

Сущность (Entity) - реальный либо воображаемый объект, имеющий существенное значение для рассматриваемой предметной области, информация о котором подлежит хранению (рисунок 4.1).

Рис. 4.1. Графическое изображение сущности

Каждая сущность должна обладать уникальным идентификатором. Каждый экземпляр сущности должен однозначно идентифицироваться и отличаться от всех других экземпляров данного типа сущности. Каждая сущность должна обладать некоторыми свойствами:

  • каждая сущность должна иметь уникальное имя, и к одному и тому же имени должна всегда применяться одна и та же интерпретация. Одна и та же интерпретация не может применяться к различным именам, если только они не являются псевдонимами;
  • сущность обладает одним или несколькими атрибутами, которые либо принадлежат сущности, либо наследуются через связь;
  • сущность обладает одним или несколькими атрибутами, которые однозначно идентифицируют каждый экземпляр сущности;
  • каждая сущность может обладать любым количеством связей с другими сущностями модели.

Обращаясь к приведенным выше выдержкам из интервью, видно, что сущности, которые могут быть идентифицированы с главным менеджером - это автомашины и продавцы. Продавцу важны автомашины и связанные с их продажей данные. Для администратора важны покупатели, автомашины, продавцы и контракты. Исходя из этого, выделяются 4 сущности (автомашина, продавец, покупатель, контракт), которые изображаются на диаграмме следующим образом (рисунок 4.2).

Рис. 4.2.

Следующим шагом моделирования является идентификация связей.

Связь (Relationship) - поименованная ассоциация между двумя сущностями, значимая для рассматриваемой предметной области. Связь - это ассоциация между сущностями, при которой, как правило, каждый экземпляр одной сущности, называемой родительской сущностью, ассоциирован с произвольным (в том числе нулевым) количеством экземпляров второй сущности, называемой сущностью-потомком, а каждый экземпляр сущности-потомка ассоциирован в точности с одним экземпляром сущности-родителя. Таким образом, экземпляр сущности-потомка может существовать только при существовании сущности родителя.

Связи может даваться имя, выражаемое грамматическим оборотом глагола и помещаемое возле линии связи. Имя каждой связи между двумя данными сущностями должно быть уникальным, но имена связей в модели не обязаны быть уникальными. Имя связи всегда формируется с точки зрения родителя, так что предложение может быть образовано соединением имени сущности-родителя, имени связи, выражения степени и имени сущности-потомка.

Например, связь продавца с контрактом может быть выражена следующим образом:

  • продавец может получить вознаграждение за 1 или более контрактов;
  • контракт должен быть инициирован ровно одним продавцом.

Степень связи и обязательность графически изображаются следующим образом (рисунок 4.3).

Рис. 4.3.

Таким образом, 2 предложения, описывающие связь продавца с контрактом, графически будут выражены следующим образом (рисунок 4.4).

Рис. 4.4.

Описав также связи остальных сущностей, получим следующую схему (рисунок 4.5).

Рис.4.5.

Последним шагом моделирования является идентификация атрибутов.

Атрибут - любая характеристика сущности, значимая для рассматриваемой предметной области и предназначенная для квалификации, идентификации, классификации, количественной характеристики или выражения состояния сущности. Атрибут представляет тип характеристик или свойств, ассоциированных со множеством реальных или абстрактных объектов (людей, мест, событий, состояний, идей, пар предметов и т.д.). Экземпляр атрибута - это определенная характеристика отдельного элемента множества. Экземпляр атрибута определяется типом характеристики и ее значением, называемым значением атрибута. В ER-модели атрибуты ассоциируются с конкретными сущностями. Таким образом, экземпляр сущности должен обладать единственным определенным значением для ассоциированного атрибута.

Атрибут может быть либо обязательным, либо необязательным (рисунок 4.6). Обязательность означает, что атрибут не может принимать неопределенных значений (null values). Атрибут может быть либо описательным (т.е. обычным дескриптором сущности), либо входить в состав уникального идентификатора (первичного ключа). Уникальный идентификатор - это атрибут или совокупность атрибутов и/или связей, предназначенная для уникальной идентификации каждого экземпляра данного типа сущности. В случае полной идентификации каждый экземпляр данного типа сущности полностью идентифицируется своими собственными ключевыми атрибутами, в противном случае в его идентификации участвуют также атрибуты другой сущности-родителя (рисунок 4.7).

Рис. 4.6.

Рис. 4.7.

Каждый атрибут идентифицируется уникальным именем, выражаемым грамматическим оборотом существительного, описывающим представляемую атрибутом характеристику. Атрибуты изображаются в виде списка имен внутри блока ассоциированной сущности, причем каждый атрибут занимает отдельную строку. Атрибуты, определяющие первичный ключ, размещаются наверху списка и выделяются знаком "#".

Каждая сущность должна обладать хотя бы одним возможным ключом. Возможный ключ сущности - это один или несколько атрибутов, чьи значения однозначно определяют каждый экземпляр сущности. При существовании нескольких возможных ключей один из них обозначается в качестве первичного ключа, а остальные - как альтернативные ключи.

С учетом имеющейся информации дополним построенную ранее диаграмму (рисунок 4.8).

Помимо перечисленных основных конструкций модель данных может содержать ряд дополнительных.

Подтипы и супертипы: одна сущность является обобщающим понятием для группы подобных сущностей (рисунок 4.9).

Взаимно исключающие связи: каждый экземпляр сущности участвует только в одной связи из группы взаимно исключающих связей (рисунок 4.10).

Рис. 4.8.

Рис. 4.9. Подтипы и супертипы

Рис. 4.10. Взаимно исключающие связи

Рекурсивная связь: сущность может быть связана сама с собой (рисунок 4.11).

Неперемещаемые (non-transferable) связи: экземпляр сущности не может быть перенесен из одного экземпляра связи в другой (рисунок 4.12).

Рис. 4.11. Рекурсивная связь

Рис. 4.12. Неперемещаемая связь

4.5.2.2. Методология IDEF1

Метод IDEF1, разработанный Т.Рэмей (T.Ramey), также основан на подходе П.Чена и позволяет построить модель данных, эквивалентную реляционной модели в третьей нормальной форме. В настоящее время на основе совершенствования методологии IDEF1 создана ее новая версия - методология IDEF1X. IDEF1X разработана с учетом таких требований, как простота изучения и возможность автоматизации. IDEF1X-диаграммы используются рядом распространенных CASE-средств (в частности, ERwin, Design/IDEF).

Сущность в методологии IDEF1X является независимой от идентификаторов или просто независимой, если каждый экземпляр сущности может быть однозначно идентифицирован без определения его отношений с другими сущностями. Сущность называется зависимой от идентификаторов или просто зависимой, если однозначная идентификация экземпляра сущности зависит от его отношения к другой сущности (рисунок 4.13).

Рис. 4.13. Сущности

Каждой сущности присваивается уникальное имя и номер, разделяемые косой чертой "/" и помещаемые над блоком.

Связь может дополнительно определяться с помощью указания степени или мощности (количества экземпляров сущности-потомка, которое может существовать для каждого экземпляра сущности-родителя). В IDEF1X могут быть выражены следующие мощности связей:

  • каждый экземпляр сущности-родителя может иметь ноль, один или более связанных с ним экземпляров сущности-потомка;
  • каждый экземпляр сущности-родителя должен иметь не менее одного связанного с ним экземпляра сущности-потомка;
  • каждый экземпляр сущности-родителя должен иметь не более одного связанного с ним экземпляра сущности-потомка;
  • каждый экземпляр сущности-родителя связан с некоторым фиксированным числом экземпляров сущности-потомка.

Если экземпляр сущности-потомка однозначно определяется своей связью с сущностью-родителем, то связь называется идентифицирующей, в противном случае - неидентифицирующей.

Связь изображается линией, проводимой между сущностью-родителем и сущностью-потомком с точкой на конце линии у сущности-потомка. Мощность связи обозначается как показано на рисунке 4.14 (мощность по умолчанию - N).

Рис.4.14. Мощность связи

Идентифицирующая связь между сущностью-родителем и сущностью-потомком изображается сплошной линией (рисунок 4.15). Сущность-потомок в идентифицирующей связи является зависимой от идентификатора сущностью. Сущность-родитель в идентифицирующей связи может быть как независимой, так и зависимой от идентификатора сущностью (это определяется ее связями с другими сущностями).

Рис. 4.15. Идентифицирующая связь

Пунктирная линия изображает неидентифицирующую связь (рисунок 4.16). Сущность-потомок в неидентифицирующей связи будет независимой от идентификатора, если она не является также сущностью-потомком в какой-либо идентифицирующей связи.

Рис. 4.16. Неидентифицирующая связь

Атрибуты изображаются в виде списка имен внутри блока сущности. Атрибуты, определяющие первичный ключ, размещаются наверху списка и отделяются от других атрибутов горизонтальной чертой (рисунок 4.17).

Рис. 4.17. Атрибуты и первичные ключи

Сущности могут иметь также внешние ключи (Foreign Key), которые могут использоваться в качестве части или целого первичного ключа или неключевого атрибута. Внешний ключ изображается с помощью помещения внутрь блока сущности имен атрибутов, после которых следуют буквы FK в скобках (рисунок 4.18).

Рис. 4.18. Примеры внешних ключей

4.5.2.3. Подход, используемый в CASE-средстве Vantage Team Builder

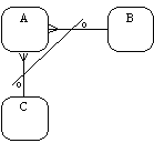
В CASE-средстве Vantage Team Builder (Westmount I-CASE) используется один из вариантов нотации П. Чена. На ER-диаграммах сущность обозначается прямоугольником, содержащим имя сущности (рисунок 4.19), а связь - ромбом, связанным линией с каждой из взаимодействующих сущностей. Числа над линиями означают степень связи.

Рис. 4.19. Обозначение сущностей и связей

Связи являются многонаправленными и могут иметь атрибуты (за исключением ключевых). Выделяют два вида связей:

  • необязательная связь (optional);
  • слабая связь (weak).

В необязательной связи (рисунок 4.20) могут участвовать не все экземпляры сущности.

Рис. 4.20. Необязательная связь

В отличие от необязательной связи в полной (total) связи участвуют все экземпляры хотя бы одной из сущностей. Это означает, что экземпляры такой связи существуют только при условии существования экземпляров другой сущ-ности. Полная связь может иметь один из 4-х видов: обязательная связь, слабая связь, связь "супертип-подтип" и ассоциативная связь.

Обязательная (mandatory) связь описывает связь между "независимой" и "зависимой" сущностями. Все экземпляры зависимой ("обязательной") сущности могут существовать только при наличии экземпляров независимой ("необязательной") сущности, т.е. экземпляр "обязательной" сущности может существовать только при условии существования определенного экземпляра "необязательной" сущности.

В примере (рисунок 4.21) подразумевается, что каждый автомобиль имеет по крайней мере одного водителя, но не каждый служащий управляет машиной.

Рис. 4.21. Обязательная связь

В слабой связи существование одной из сущностей, принадлежащей некоторому множеству ("слабой") зависит от существования определенной сущности, принадлежащей другому множеству ("сильной"), т.е. экземпляр "слабой" сущности может быть идентифицирован только посредством экземпляра "сильной" сущности. Ключ "сильной" сущности является частью составного ключа "слабой" сущности.

Слабая связь всегда является бинарной и подразумевает обязательную связь для "слабой" сущности. Сущность может быть "слабой" в одной связи и "сильной" в другой, но не может быть "слабой" более, чем в одной связи. Слабая связь может не иметь атрибутов.

Пример на рисунке 4.22: ключ (номер) строки в документе может не быть уникальным и должен быть дополнен ключом документа.

Рис.4.22. Слабая связь

Связь "супертип-подтип" изображена на рисунке 4.23. Общие характеристики (атрибуты) типа определяются в сущности-супер-типе, сущность-подтип наследует все характеристики супертипа. Экземпляр подтипа существует только при условии существования определенного экземпляра супертипа. Подтип не может иметь ключа (он импортирует ключ из супертипа). Сущность, являющаяся супертипом в одной связи, может быть подтипом в другой связи. Связь супертипа не может иметь атрибутов.

Рис. 4.23. Связь "супертип-подтип"

В ассоциативной связи каждый экземпляр связи (ассоциативный объект) может существовать только при условии существования определенных экземп-ляров каждой из взаимосвязанных сущностей. Ассоциативный объект - объект, являющийся одновременно сущностью и связью. Ассоциативная связь - это связь между несколькими "независимыми" сущностями и одной "зависимой" сущностью. Связь между независимыми сущ-ностями имеет атрибуты, которые определяются в зависимой сущности. Таким образом, зависимая сущность определяется в терминах атрибутов связи между остальными сущностями.

В примере на рисунке 4.24 самолет выполняет посадку на взлетную полосу в заданное время при оп-ределенной скорости и направлении ветра. Поскольку эти характеристики при-менимы только к конкретной посадке, они являются атрибутами посадки, а не самолета или взлетной полосы. Пилот, выполняющий посадку, связан гораздо сильнее с конкретной посадкой, чем с самолетом или взлетной полосой.

Рис. 4.24. Ассоциативная связь

Первичный ключ каждого типа сущности помечается звездочкой (*).

ER-диаграмма должна подчиняться следующим правилам:

  • каждая сущность, каждый атрибут и каждая связь должны иметь имя (связь супертипа или ассоциативная связь может не иметь имени);
  • имя сущности должно быть уникально в рамках модели данных;
  • имя атрибута должно быть уникально в рамках сущности;
  • имя связи должно быть уникально, если для нее генерируется таблица БД;
  • каждый атрибут должен иметь определение типа данных;
  • сущность в необязательной связи должна иметь ключевой атрибут. То же самое относится к сильной сущности в слабой связи, супертипу в связи "супертип-подтип" и необязательной сущности в обязательной (полной) связи;
  • подтип в связи "супертип-подтип" не может иметь ключевой атрибут;
  • в ассоциативной или слабой связи может быть только одна ассоциативная (слабая) сущность;
  • связь не может быть одновременно обязательной, "супертип-подтип" или ассоциативной.

4.6. CASE-системы для проектирования информационных систем

Современные CASE-средства охватывают обширную область поддержки многочисленных технологий проектирования информационных систем: от простых средств анализа и документирования до полномасштабных средств автоматизации, покрывающих весь жизненный цикл программного обеспечения.

Наиболее трудоемкими этапами разработки информационных систем являются этапы анализа и проектирования, в процессе которых CASE-средства обеспечивают качество прини-маемых технических решений и подготовку проектной документации. При этом большую роль играют методы визуального представления информации. Это предполагает построение структурных или иных диа-грамм в реальном масштабе времени, использование многообразной цветовой палитры, сквозную проверку синтаксических правил. Графические средства моделирования предметной области позволяют разработчикам в наглядном виде изучать существующую информационную систему, перестраивать ее в соответствии с поставленными целями и имеющимися ограничениями.

Назад | Содержание | Вперед

 

IT-консалтинг Software Engineering Программирование СУБД Безопасность Internet Сети ОС Hardware

CITForum © 1997–2025