CITForum Море(!) аналитической информации!
IT-консалтинг Software Engineering Программирование СУБД Безопасность Internet Сети ОС Hardware
2004 г.

Ipsysctl tutorial 1.0.4

Oskar Andreasson, перевод Андрея Киселева

Глава 3. Переменные IPv4

В этой главе будут рассмотрены все переменные IPv4, которые доступны через интерфейс sysctl или /proc. Здесь вы найдете описание каждой переменной, за что она отвечает, значение по-умолчанию и, если это возможно, набор допустимых значений. Мы не будем углубляться в дискуссию -- почему та или иная переменная должна быть изменена, если на это не будет особых причин. Структура этой главы отражает структуру каталога ipv4

3.1. Переменные IP

Это список всех переменных, доступных в ядре 2.4.x, которые отвечают за настройку IP. Это довольно большой список. Вам наверняка потребуется изменить некоторые из них под свои условия, а другие такого изменения не требуют. Большинство из переменных имеют достаточно приемлемые значения по-умолчанию, однако, некоторые действительно требуют дополнительной подстройки.

3.1.1. ip_autoconfig
3.1.2. ip_default_ttl

Устанавливает значение по-умолчанию для величины Time To Live исходящих пакетов. Это число определяет продолжительность "жизни" пакета в Internet. Каждый раз, когда пакет попадает на очередной роутер, брандмауэр и т.п., величина TTL пакета уменьшается на 1.

Значение по-умолчанию -- 64. Это достаточно приемлемое значение. Очень трудно представить себе ситуацию, когда это число оказалось бы недостаточным. Переменная принимает целое число без знака в диапазоне от 0 до 255 включительно, однако, значение 255 слишком велико, а если поставить 0 -- то вы вообще лишитесь выхода в сеть. Число 64 достаточно хорошее, если вы не пытаетесь установить соединение с компьютером, отстоящим от вас на значительном растоянии, измеряемом в "переходах" (hops). Тогда этой вличины TTL может и не хватить. Однако, я в своей практике еще не встречался с компьютерами, отстоящими от меня более чем на 30 "переходов" (hops) и я не думаю, что вам придется увеличивать значение этой переменной.

Увеличение TTL пакета до 255 может иметь свои негативные последствия. Если представить себе, что где-то произошел сбой в 2-х маршрутизаторах и пакет "зациклился" между ними, тогда пакет начнет "бегать" туда-сюда между маршрутизаторами, поглощая пропускную способность канала, до тех пор, пока TTL пакета не истечет. Как правило, величину TTL не устанавливают больше 100.

3.1.3. ip_dynaddr

Переменная используется для разрешения некоторых проблем, связанных с динамической адресацией. Позволяет демону diald одновременно устанавливать соединение и изменять исходящий адрес в пакетах (и сокетах для локальных процессов). Эта возможность была реализованв для поддержки TCP по коммутируемым соединениям и соединениям с маскарадингом (masqueradig). Эта опция позволяет "маскарадить" исходящий адрес пакета при изменении динамического IP-адреса.

В переменную можно записать одно из 3-х значений: 0, 1 или 2.

  • 0 -- опция выключена, это значение по-умолчанию.

  • 1 -- опция включена.

  • Любое другое значение, отличающееся от 0 и 1 подразумевает включение этой опции в "многословном" (verbose) режиме, что приводит к записи в системный журнал отладочных сообщений.

Что происходит, если изменяется адрес исходящего интерфейса при включенной опции ip_dynaddr:

  • Исходящий адрес пакета и сокета изменяется ПРИ ПОВТОРНОЙ ПЕРЕДАЧЕ, когда он находится в состоянии SYN_SENT. Это касается локальных процессов.

  • Для транзитных пакетов -- исходящий адрес пакета изменяется на выходе, когда внутренний хост выполняет ПОВТОРНУЮ ПЕРЕДАЧУ, пока не будет принят внешний пакет.

Эта опция особенно полезна для случаев автодозвона, когда в момент установления связи исходящий адрес еще не известен. Любой запрос на соединение заставляет diald "поднять" исходящий интерфейс, после чего пакеты отправляются через него. Это означает, что нет необходимости сначала выдавать запрос который "поднимет" исходящий интерфейс, а затем выдавать "реальный" запрос на соединение, вместо этого мы просто устанавливаем соединение.

3.1.4. ip_forward

Включает/отключает функцию форвардинга (передачу транзитных пакетов между сетевыми интерфейсами), которая позволяет компьютеру выступать в роли брандмауэра или маршрутизатора. Эта переменная очень важна для Network Address Translation (Трансляция Сетевых Адресов), брандмауэров, маршрутизаторов и всего того, что должно передавать пакеты между сетями.

Это булева переменная. Или, другими словами, она может принимать два значения -- 0 или 1. Значение по-умолчанию -- 0, "запрещено". То есть 0 означает запрет форвардинга, а 1 -- разрешает его.

Замечу, что это очень специфичная переменная, поскольку изменение ее влечет за собой установку всех настроек в значения по-умолчанию (я, у себя в системе на ядре 2.4.20, не заметил этой особенности. прим. перев.). Полный список этих значений вы найдете в RFC1122 для хостов и RFC1812 для роутеров.

3.1.5. ip_local_port_range

Содержит два целых числа, которые определяют диапазон локальных портов, которые используются в клиентских соединениях, т.е. для исходящих соединений, которые связывают нашу систему с некоторым узлом сети, где мы выступаем в качестве клиента. Первое число задает нижнюю границу диапазона, второе -- верхнюю.

Значения по-умолчанию зависят от имеющегося объема ОЗУ. Если установлено более чем 128 Мб, то нижняя граница будет 32768, а верхняя -- 61000. При меньшем объеме ОЗУ нижняя граница будет 1024 а верхняя -- 4999 или даже меньше.

Этот диапазон определяет количество активных соединений, которые могут быть запущены одновременно, с другой системой, которая не поддерживает TCP-расширение timestamp.

Диапазона 1024-4999 вполне достаточно для установки до 2000 соединений в секунду с системами, не поддерживающими timestamp. Проще говоря, этого вполне достаточно для большинства применений.

3.1.6. ip_no_pmtu_disc

Переменная ip_no_pmtu_disc запрещает поиск PMTU (от англ. Path Maximum Transfer Unit -- Максимальный Размер Пакета для выбранного Пути). Для большинства случаев лучше установить в эту переменную значение FALSE, или 0 (т.е. система будет пытаться определить максимальный размер пакета, при котором не потребуется выполнять их фрагментацию, для передачи на заданный хост). Но иногда, в отдельных случаях, такое поведение системы может приводить к "срывам" соединений. Если у вас возникают такие проблемы, то вам следует попробовать отключить эту опцию (т.е. записать в переменную число 1) и установить нужное значение MTU.

Хочу обратить ваше внимание на то, что MTU и PMTU -- это не одно и то же! MTU -- (от англ. Maximum Transfer Unit -- максимальный размер пакета) определяет максимальный размер пакета для наших сетевых интерфейсов, но не для сетевых интерфейсов на другом конце. PMTU -- опция, которая заставляет систему вычислять максимальный размер пакета, при котором не потребуется фрагментация пакетов, для маршрута к заданному хосту, включая все промежуточные переходы.

Значение по-умолчанию -- FALSE (0), т.е. функция определения разрешена. Если записать число 1 в эту переменную, то функция определения PMTU будет запрещена. Переменная ip_no_pmtu_disc может принимать значение 0 или 1.

3.1.7. ip_nonlocal_bind

Установка этой переменной позволяет отдельным локальным процессам выступать от имени внешнего (чужого) IP адреса. Это может оказаться полезным в некоторых случаях, когда необходимо "прослушивать" внешние (чужие) IP адреса, например -- сниффинг чужого траффика. Однако, эта опция может оказывать отрицательное влияние на работоспособность отдельных приложений.

Эта переменная может иметь два значения -- 0 или 1. Если установлено значение 0, то опция отключена, 1 -- включена. Значение по-умолчанию -- 0.

3.1.8. ipfrag_high_thresh

Переменная задает максимальный объем памяти, выделяемый под очередь фрагментированных пакетов. Когда длина очереди достигает этого порога, то обработчик фрагментов будет отвергать все фрагментированные пакеты до тех пор, пока длина очереди не уменьшится до значения переменной ipfrag_low_thresh. Это означает, что все отвергнутые фрагментированные пакеты должны быть повторно переданы узлом-отправителем.

Пакеты фрагментируются в том случае, если их размер слишком велик, чтобы быть переданными по данному каналу. Узел-отправитель, в этом случае, "режет" пакеты на более мелкие части и затем передает их одну за другой. На узле-получателе эти фрагменты опять собираются в полноценный пакет. Примечательно, что идея фрагментации пакетов, сама по себе, вещь замечательная, но, к сожалению, может быть использована в весьма неблаговидных целях.

Переменная содержит целое число в диапазоне 0 .. 2147483647 и означает верхний порог длины очереди фрагментов в байтах. Значение по-умолчанию -- 262144 байт, или 256 Кб. Этого количества, как правило, вполне достаточно даже для самых крайних случаев.

3.1.9. ipfrag_low_thresh

Эта переменная очень тесно связана с переменной ipfrag_high_thresh. Она устанавливает нижний порог, при достижении которого опять разрешается прием фрагментов в очередь. Обработчик фрагментов имеет свою очередь, в которой находятся фрагментированные пакеты, ожидающие сборки. Когда длина очереди достигает верхнего порога (ipfrag_high_thresh), то прием фрагментов в очередь приостанавливается до тех пор, пока длина очереди не уменьшится до величины ipfrag_low_thresh. Это предохраняет систему от "затопления" фрагментированными пакетами и, тем самым, является, в своем роде, защитой от некоторых видов DoS-атак.

Переменная содержит целое число в диапазоне 0 .. 2147483647 и означает нижний порог длины очереди фрагментов в байтах, по достижении которого, фрагментированные пакеты снова будут приниматься в очередь. Значение по-умолчанию -- 196608 байт, или 192 Кб. Это число обязательно должно быть меньше, чем ipfrag_high_thresh.

3.1.10. ipfrag_time

Эта переменная определяет максимальное время "хранения" фрагментов в секундах. Это относится только к тем фрагментам, которые пока невозможно собрать, поскольку собранные пакеты к этому сроку скорее всего уже будут переданы дальше (на следующий уровень или в сеть).

Переменная принимает целое значение и определяет предельное время хранения фрагментов в секундах. Если записать туда число 5, то это будет означать 5 секунд.

3.2. Inet peer storage

Под термином "inet peer storage" понимается "хранилище" информации, имеющей отношение к определенными узлами сети. Однако, сюда помещаются только те данные, которые предполагают длительное хранение и данные, не связанные с маршрутизацией. Это означает, что она содержит информацию только о поле ID следующего исходящего пакета. В этом разделе есть несколько переменных, которые управляют поведением хранения этой информации, главным образом, переменные управляют периодичностью "сборки мусора" и сроком хранения данных.

3.2.1. inet_peer_gc_maxtime

Переменная inet_peer_gc_maxtime определяет частоту "сборки мусора" при незначительном объеме данных. Эта переменная имеет то же предназначение, что и inet_peer_gc_mintime, только выбор, какой переменной пользоваться, производится в зависимости от величины нагрузки на систему. Значение переменной измеряется в так называемых "тиках" (jiffies), понятие "тика" подробно объясняется в приложении A.

Переменная принимает целое число, измеряемое в "тиках". Значение по-умолчанию -- 120 "тиков", чего вполне достаточно для большинства серверов и рабочих станций.

3.2.2. inet_peer_gc_mintime

Переменная inet_peer_gc_mintime устанавливает минимальное время между проходами "сборщика мусора" при значительном объеме данных, хранящихся в "inet peer storage". Когда система находится под тяжелыми нагрузками и появляется множество факторов, ограничивающих размер пула памяти, то частота "сборки мусора" определяется этой переменной. Значение переменной измеряется в так называемых "тиках" (jiffies), понятие "тика" подробно объясняется в приложении A.

Переменная принимает целое число, измеряемое в "тиках". Значение по-умолчанию -- 10 "тиков", чего вполне достаточно для большинства серверов и рабочих станций.

3.2.3. inet_peer_maxttl

Это максимальное время хранения записей. При незначительных нагрузках на систему неиспользуемые записи будут удаляться через данный промежуток времени.

Значение переменной измеряется в так называемых "тиках" (jiffies), понятие "тика" подробно объясняется в приложении A.

3.2.4. inet_peer_minttl

Переменная определяет минимальное время хранения данных в "inet peer storage". Это время должно быть достаточно большим, чтобы перекрыть время сборки фрагментов на противоположной стороне. Минимальное время хранения является гарантией того, что размер пула будет меньше чем величина inet_peer_threshold.

Значение переменной измеряется в так называемых "тиках" (jiffies), понятие "тика" подробно объясняется в приложении A.

3.2.5. inet_peer_threshold

Эта переменная хранит приблизительный размер памяти для "inet peer storage". Когда размер пула достигает этой величины, то "сборщик мусора" переводится в более агрессивный режим работы -- с периодом прохода inet_peer_gc_mintime. Кроме того, этот порог влияет на срок хранения записей. Чем выше этот порог, тем больше срок хранения.

Эта переменная принимает целое число, значание по-умолчанию -- 65664 байт.

3.3. Переменные TCP

Здесь будут кратко рассмотрены переменные, ответственные за настройку TCP. Обычно эти параметры не требуют дополнительной настройки, поскольку имеют вполне разумные установки по-умолчанию и, скорее всего, вам едва ли придется менять здесь что-либо, так утверждают вполне авторитетные разработчики! Здесь в основном приводятся описания из их уст, для тех, кому это интересно.

3.3.1. tcp_abort_on_overflow

Эта переменная заставляет ядро отвергать новые соединения, если их поступает такое количество, что система не в состоянии справиться с таким потоком. Что это означает? Допустим, что на систему обрушивается шквал запросов на соединение, тогда они могут быть просто отвергнуты, если переменная будет включена, поскольку система не в состоянии обработать их все. Если переменная не установлена, то система будет пытаться обслужить все запросы.

Переменная может иметь два значение -- 0(выключено) или 1(включено). Значение по-умолчанию -- 0. Включение этой опции следует расценивать как крайнюю меру. Перед этим необходимо попытаться поднять производительность сервисов.

3.3.2. tcp_adv_win_scale

Эта переменная влияет на вычисление объема памяти в буфере сокета, выделяемой под размер TCP-окна и под буфер приложения. Если величина tcp_adv_win_scale отрицательная, то для вычисления размера используется следующее выражение:

Где bytes -- это размер окна в байтах. Если величина tcp_adv_win_scale положительная, то для определения размера используется следующее выражение:

Переменная принимает целое значение. Значение по-умолчанию -- 2, т.е. под буфер приложения отводится 1/4 часть объема, определяемого переменной tcp_rmem.

3.3.3. tcp_app_win

Эта переменная определяет количество байт, резервируемых под TCP-окно в приемном буфере сокета. Выражение, согласно которому делается расчет, выглядит следующим образом:

Как видно из выражения -- чем больше значение переменной, тем меньше будет размер буфера окна. Исключение составляет значение 0. В этом случае резервирование не производится. Значение по-умолчанию -- 31. Не изменяйте эту переменную, если вы не уверены в том, что делаете.

3.3.4. tcp_dsack

Эта опция необходима для выполнения передачи дублирующих SACK-пакетов (от англ. Selective ACKnowledgement -- Выборочное Подтверждение Приема, прим. перев.). Техника выборочного подтверждения кратко описана в разделе, посвященном переменной tcp_sack. Детальное описание можно найти в RFC 2883. Здесь подробно описываются действия по обработке ситуаций, когда получен дубликат пакета, пришедшего ранее, или когда пакеты поступают не в той очередности. D-SACK -- это расширение стандарта SACK и используется для уведомления хоста-отправителя о том, что пакет был получен дважды (т.е. продублирован). Эту информацию хост-отправитель может использовать для корректировки сетевых настроек и т.п.. Эта опция гарантирует 100%-ную обратную совместимость с устаревшими реализациями TCP, если в них техника SACK не реализована каким-либо нестандартным образом. Но это чрезвычайно редкий случай, а посему -- у вас едва ли будут возникать проблемы с этим.

Переменная может иметь два состояния -- 1 (включено) и 0 (выключено). Значение по-умолчанию -- 1 (включено). И, само собой разумеется, установка этой переменной имеет смысл только если включена переменная tcp_sack, поскольку tcp_dsack очень тесно связана с ней. В большинстве случаев разумным будет оставить переменную включенной.

3.3.5. tcp_ecn

Переменная tcp_ecn отвечает за работу Explicit Congestion Notification (Явное Уведомление о Перегруженности) в TCP-соединениях. Используется для уведомления о возникновении "затора" на маршруте к заданному хосту или сети. Может использоваться для извещения хоста-отправителя о необходимости снизить скорость передачи пакетов через конкретный маршрутизатор или брандмауэр. Explicit Congestion Notification (ECN) детально описано в RFC 3168 - The Addition of Explicit Congestion Notification (ECN) to IP. Дополнительную информацию о ECN вы найдете в RFC 2884 - Performance Evaluation of Explicit Congestion Notification (ECN) in IP Networks.

Коротко: этот документ подробно описывает как должно передаваться уведомление о перегруженности хосту-отправителю, который, в свою очередь, может выбрать другой маршрут или начать снижать скорость передачи до тех пор, пока к нему не перестанут поступать ECN-пакеты.
Caution

В Интернете еще встречаются маршрутизаторы и брандмауэры, которые не пропускают пакеты с установленным флагом ECN и, если вам не повезет, то вы можете столкнуться с ними. При возникновении проблем с прохождением ECN -- попробуйте отключить эту опцию. Если вам встретится подобный маршрутизатор, то можете попробовать вступить в контакт с администратором и предупредить его об имеющихся проблемах. Подробное описание проблемы и общий список аппаратуры, являющейся причиной этой неприятности, вы найдете в приложении Ссылки в пункте ECN-under-Linux Unofficial Vendor Support Page.

Переменная может иметь два состояния -- 0 (выключено) и 1 (включено). Значение по-умолчанию -- 0 (выключено).

3.3.6. tcp_fack

Переменная tcp_fack ответственна за систему Forward Acknowledgement (Упреждающее Подтверждение) в Linux. Forward Acknowledgement -- это специальный алгоритм, который работает поверх SACK, и предназначен для контроля "заторов".

Главная идея алгоритма FACK состоит в отслеживании наибольшего номера выборочно подтвержденной последовательности как признака того, что все предыдущие не подтвержденные (выборочно) сегменты были потеряны. Это позволяет оптимизировать восстановление потерь. Однако, этот алгоритм становится неработоспособным в случае неупорядоченного потока данных, тогда он (алгоритм) автоматически отключается для данного конкретного соединения.

Изначально алгоритм FACK был разработан Мэттью Матисом (Matthew Mathis) с соавторами. Документ, описывающий алгоритм, можно найти на http://www.psc.edu/~mathis/.

Переменная может принимать два значения -- 0 (выключено) и 1 (включено). Значение по-умолчанию -- 1 (включено). Эта опция используется только тогда, когда включена переменная tcp_sack.

3.3.7. tcp_fin_timeout

Переменная задает максимальное время пребывания сокета в состоянии FIN-WAIT-2. Используется в тех случаях, когда другая сторона по тем или иным причинам не закрыла соединение со своей стороны. Каждый сокет занимает в памяти порядка 1.5 Кб, что может привести к значительным утечкам памяти в некоторых случаях.

Переменная принимает целое число. Значение по-умолчанию -- 60 секунд. В ядрах серии 2.2 это значение было равно 180 секундам, но было уменьшено, поскольку иногда возникали проблемы, связанные с нехваткой памяти, на web-серверах, которые, как правило, обслуживают огромное количество подключений.

За дополнительной информацией -- обращайтесь к описанию переменных tcp_max_orphans и tcp_orphan_retries.

3.3.8. tcp_keepalive_intvl

Переменная определяет интервал проверки "жизнеспособность" сокета. Это значение учитывается при подсчете времени, которое должно пройти перед тем как соединение будет разорвано.

Переменная принимает целое число. Значение по-умолчанию -- 75 секунд. Это достаточно высокое значение, чтобы рассматривать его как нормальное. Значения переменных tcp_keepalive_probes и tcp_keepalive_intvl могут использоваться для определения времени, через которое соединение будет разорвано.

Со значениями по-умолчанию (9 попыток с интервалом 75 секунд) это займет примерно 11 минут. Попытки определения "жизнеспособности", в свою очередь, начнутся через 2 часа после того, как через данное соединение проследовал последний пакет.

3.3.9. tcp_keepalive_probes

Переменная определяет количество попыток проверки "жизнеспособности" прежде, чем будет принято решении о разрыве соединения.

Переменная принимает целое число, которое не следует устанавливать больше 50-ти. Значение по-умолчанию -- 9. Это означает, что будет выполнено 9 попыток проверки соединения, чтобы убедиться в том, что соединение разорвано.

3.3.10. tcp_keepalive_time

Переменная определяет как часто следует проверять соединение, если оно давно не используется. Значение переменной имеет смысл только для тех сокетов, которые были созданы с флагом SO_KEEPALIVE.

Переменная принимает целое число секунд. Значение по-умолчанию -- 7200 секунд, или 2 часа. Не уменьшайте это число без необходимости, поскольку это может привести к увеличению излишнего трафика.

3.3.11. tcp_max_orphans

Переменная задает максимальное число "осиротевших" (не связанных ни с одним процессом) сокетов. Если это число будет превышено, то такие соединения разрываются, а в системный журнал пишется предупреждение.

Это ограничение существует исключительно ради предотвращения простейших разновидностей DoS-атак. Вообще вы не должны полагаться на эту переменную! Не рекомендуется уменьшать это число. Сетевая среда может потребовать увеличение этого порога, однако, такое увеличение может привести к необходимости увеличения объема ОЗУ в системе. Прежде чем поднимать этот предел -- попробуйте перенастроить сетевые сервисы на более агрессивное поведение по отношению к "осиротевшим" сокетам.

Переменная принимает целое число. Значение по-умолчанию -- 8192, однако оно очень сильно зависит от объема памяти в системе. Каждый "осиротевший" сокет "съедает" примерно 64 Кб памяти, которая не может быть сброшена в своп (swap).
Note

При возникновении проблем, связанных с этим ограничением -- в системный журнал будет записано сообщение, подобное этому:

TCP: too many of orphaned sockets

Это может служить поводом к тому, чтобы пересмотреть значения переменных tcp_fin_timeout или tcp_orphans_retries.

3.3.12. tcp_max_syn_backlog

Переменная определяет максимальное время хранения SYN-запросов в памяти до момента получения третьего, завершающего установление соединения, пакета. Эта опция работает только тогда, когда включена переменная tcp_syncookies. Если сервер испытывает серьезные нагрузки, то можно попробовать немного увеличить этот параметр.

Переменная принимает целое число. Значение по-умолчанию зависит от количества памяти, имеющейся в системе. Если объем памяти менее 128 Мб, то значение по-умолчанию равно 128, если больше, то значение по-умолчанию равно 1024.
Caution

Если вы увеличиваете эту переменную до величины более чем 1024, то было бы неплохо изменить величину TCP_SYNQ_HSIZE и пересобрать ядро. TCP_SYNQ_HSIZE находится в файле linux/include/tcp.h. Эта величина рассчитывается по формуле:

TCP_SYNQ_HSIZE*16 <= tcp_max_syn_backlog

3.3.13. tcp_max_tw_buckets

Максимальное число сокетов, находящихся в состоянии TIME-WAIT одновременно. При превышении этого порога -- "лишний" сокет разрушается и пишется сообщение в системный журнал. Цель этой переменной -- предотвращение простейших разновидностей DoS-атак.

Переменная принимает целое число. Значение по-умолчанию -- 180000. На первый взгляд может показаться, что это очень много, но на самом деле это не так. Если у вас начинают возникать ошибки, связанные с этим параметром, то попробуйте увеличить его.
Caution

Вам не следует уменьшать значение этой переменной. Вместо этого, если начали поступать сообщения в системный журнал, ее следует увеличить, однако, это может потребовать наращивания памяти в системе.

3.3.14. tcp_mem

В этой переменной задаются 3 значения, определяющие объем памяти, который может быть использован стеком TCP. Значения измеряются в страницах памяти. Размер одной страницы зависит от аппаратуры и конфигурации ядра. Для архитектуры i386 размер одной страницы составляет 4Кб, или 4096 байт. Некоторые, более новые аппаратные реализации, имеют размер страницы равный 16, 32 или даже 64 Кб. Все три значения по-умолчанию рассчитываются во время загрузки.

Первое число задает нижний порог. Ниже этого порога, стек TCP вообще никак не беспокоится об управлении памятью, используемой различными TCP сокетами.

Когда объем используемой памяти достигает второго предела (числа), то TCP начинает более энергично "расталкивать" память, стремясь освободить ее как можно быстрее. Этот процесс продолжается до тех пор, пока объем использумой памяти не достигнет нижнего предела.

И последнее число -- максимальный объем памяти, который может использоваться для нужд TCP. Если используемый объем памяти достигнет этого порога, то TCP просто начинает "терять"пакеты и соединения до тех пор, пока объем используемой памяти не уменьшится.
Tip

Эта переменная может позволить несколько увеличить пропускную способность на "толстых" каналах, если должным образом настроить переменные tcp_mem, tcp_rmem и tcp_wmem. Впрочем, переменная tcp_rmem не требует особо пристального внимания, поскольку серия ядер 2.4 имеет достаточно хорошие настройки этой переменний, а вот на другие две следует взглянуть поближе. Дополнительную информацию об этом вы найдете в руководстве TCP Tuning Guide.

3.3.15. tcp_orphan_retries

Количество попыток закрыть соединение перед тем как оно будет разорвано принудительно. Если вы администрируете http-сервер, который испытывает большие нагрузки, то стоит подумать об уменьшении этого значения.

Переменная принимает целое число. Значение по-умолчанию -- 7, что соответствует, примерно, от 50 секунд до 16 минут, в зависимости от внличины Retransmission Timeout (RTO -- Таймаут для Повторной Передачи. прим. перев.). Детальное описание RTO вы найдете в разделе "3.7. Data Communication" RFC 793 - Transmission Control Protocol.

Кроме того, посмотрите описание переменной tcp_max_orphans.

3.3.16. tcp_reordering

Максимальное количество пакетов, пришедших в потоке не по-порядку, прежде чем будет сделано предположение о том, что пакет был потерян где-то на маршруте. Когда делается такое предположение, то стек TCP переходит обратно в режим "slow start" (медленный старт), поскольку пакет действительно мог быть утерян из-за перегруженности сети. Кроме того, стек TCP откажется от дальнейшего использования алгоритма FACK при обмене с этим хостом.

Переменная принимает целое число. Значение по-умолчанию -- 3. Это достаточно хорошее значение и не следует его изменять. Если этот параметр уменьшить, то это может значительно ухудшить работу сетевой подсистемы особенно, если пакеты часто переупорядочиваются.

3.3.17. tcp_retrans_collapse

Включает/выключает эмуляцию ошибки протокола TCP, делая возможным сетевое взаимодействие с некоторыми устройствами, в которых реализация стека TCP имеет эту ошибку. Без ее эмуляции было бы невозможным работать с отдельными моделями принтеров. Ошибка заключается в отправке полноразмерных пакетов при повторной передаче.

Переменная может принимать два значения -- 0 (выключено) и 1 (включено). Значение по-умолчанию -- 1 (включено). Эмуляция ошибки никак не повредит взаимодействию с другими узлами сети, но при этом позволит общаться с устройствами, имеющими ошибку в реализации стека TCP. Вообще эта опция совершенно безопасна, однако, если в журнал пишутся непонятные сообщения -- можете попробовать отключить ее.

3.3.18. tcp_retries1

Максимальное количество попыток повторной передачи пакетов по установленному соединению прежде, чем сообщение об ошибке будет передано сетевому уровню, в результате чего может быть выбран другой маршрут для отправки последующих пакетов. Минимальное значение этого параметра определяется в RFC ???? и равно 3. Это число является значением по-умолчанию, что соответствует интервалу времени от 3 секунд до 8 минут, в зависимости от величины Retransmission timeout (RTO). Детальное описание RTO вы найдете в разделе "3.7. Data Communication" RFC 793 - Transmission Control Protocol.

Переменная принимает целое число. Значение по-умолчанию -- 3. Стандарты определяют диапазон изменения этого параметра от 3 до 100.

3.3.19. tcp_retries2

Максимальное количество попыток повторной передачи пакетов, до того как соединение будет считаться разорванным. Это ограничение определено в RFC 1122 и равно 100, но обычно его уменьшают.

Переменная принимает целое число. Значение по-умолчанию -- 15, что соответствует примерно 13-30 минутам в зависимости от величины Retransmission timeout (RTO). При желании можете попробовать уменьшить этот параметр.

3.3.20. tcp_rfc1337

Переменная tcp_rfc1337 является реализацией решения проблемы, описываемой в RFC 1337 - TIME-WAIT Assassination Hazards in TCP. Проблема связана с "устаревшими" дубликатами пакетов, которые могут вносить помехи во вновь устанавливаемые соединения и порождать три различные проблемы. Первая -- "устаревший" дубликат пакета с данными может быть ошибочно воспринят в новом соединении, что приведет к передаче неверных данных. Вторая -- соединение может быть десинхронизировано и "уйти" в ACK-цикл из-за "устаревших" дубликатов, которые порождают новые соединения (здесь автор имеет ввиду "устаревшие" дубликаты SYN-пакетов, прим. перев.). И третья, и последняя проблема -- "устаревшие" дубликаты могут "проникнуть" в недавно созданное соединение и ошибочно уничтожить его.

Согласно упомянутому RFC существуют три возможных решения, однако, одно из них решает эту проблему лишь частично, второе требует внесения значительных изменений в протокол TCP.

Окончательное решение состоит в том, что RST-пакеты должны просто игнорироваться, пока сокет находится в состоянии TIME_WAIT. Вместе с установкой параметра Maximum Segment Life (MSL -- максимальное время жизни сегмента) равным 2 мин. такой подход решает все три проблемы, описанные в RFC 1337.

3.3.21. tcp_rmem

Переменная содержит три числа, которые используются при управлении размерами приемных буферов.

Первое число -- минимальный размер приемного буфера, который выделяется для каждого сокета. Этот размер буфера выделяется всегда, даже при очень высоких нагрузках на систему. Значение по-умолчанию -- 4096 байт, или 4 Кб. В предыдущих версиях ядра Linux это значение было 8192 байт. Это достаточно большой размер и не следует увеличивать его, иначе, при "взрывных" нагрузках на сеть, вы можете столкнуть с очень серьезными проблемами.

Второе число -- размер приемного буфера по-умолчанию, который выделяется для каждого сокета. Это значение перекрывает значение переменной /proc/sys/net/core/rmem_default, которая используется другими протоколами. Значение по-умолчанию -- 87380 байт, или 85 Кб. Совместно с переменными tcp_adv_win_scale и tcp_app_win эта переменная используется при расчете размера TCP-окна. Это значение используется при незначительных нагрузках. Как и в случае с первым значением -- не следует без особой нужды изменять этот параметр.
Tip

Эта переменная может дать некоторый прирост производительности на "толстых" каналах, если достаточно корректно используется вместе с переменными tcp_mem и tcp_wmem. tcp_rmem не требует вмешательства извне, поскольку ядра серии 2.4 достаточно хорошо настраивают ее автоматически, а вот на tcp_mem и tcp_wmem можно взглянуть попристальнее. Дополнительную информацию, по настройке переменных, вы найдете в TCP Tuning Guide.

Третье, и последнее, число -- максимально возможный размер приемного буфера, который может быть размещен для каждого сокета. Этот параметр перекрывается переменной /proc/sys/net/core/rmem_max, если значение в ipv4 оказывается больше. Перед изменением этого параметра -- вам следует сначала взглянуть на значение /proc/sys/net/core/rmem_max. Значение по-умолчанию -- удвоенное значение второго параметра, т.е. -- 87380 * 2 bytes, или 174760 байт (170 Кб). Как правило этот параметр не нуждается в корректировке.

3.3.22. tcp_sack

Разрешает Selective Acknowledgements (SACK -- Выборочное Подтверждение), детальное описание вы найдете в RFC 2883 - An Extension to Selective Acknowledgement (SACK) Option for TCP и RFC 2883 - An Extension to Selective Acknowledgement (SACK) Option for TCP.

Если эта переменная включена (установлена 1), то в TCP-заголовке будет устанавливаться SACK-флаг при передаче SYN-пакета, сообщая тем самым удаленному хосту, что наша система в состоянии обрабатывать SACK, на что удаленный хост может ответить ACK-пакетом с установленным флагом SACK. Этот режим выборочно подтверждает каждый сегмент в TCP-окне. Это особенно полезно на неустойчивых соединениях, поскольку позволяет производить повторную передачу лишь отдельных, не подтвержденных фрагментов, а не всего TCP-окна, как это диктуется более старыми стандартами. Если какой либо сегмент TCP-окна был "утерян", то приемная сторона не пришлет на него SACK-подтверждение о приеме. Отправитель, поняв это, повторит передачу "потерявшихся" сегментов. Избыточные данные сохраняются в TCP-заголовке, 40 байт на сегмент. Подтверждение каждого сегмента -- это два 32-битных беззнаковых целых числа, таким образом в заголовке может разместиться подтверждение 4-х сегментов. Однако, как правило, совместно с опцией SACK используется опция timestamp, которая занимает 10 байт и поэтому в одном пакете может быть подтверждено не более 3 сегментов.

Рекомендуется включать эту опцию, если вы имеете неустойчивые соединения. Однако, если вы соединены 1.5-метровым кабелем с другой машиной, то в таком случае, для достижения наивысшей скорости обмена, следует эту опцию отключить. Обычно эта опция не нужна, но лучше ее включить. Она обеспечивает 100% обратную совместимость, т.е. вы не должны испытывать никаких проблем при соединении с хостами, которые эту опцию не поддерживают.

В переменную могут быть записаны два числа -- 0 (выключено) и 1 (включено). Значение по-умолчанию --1 (включено).

3.3.23. tcp_stdurg

Разрешает/запрещает соответствие стандарту RFC 1122. Поведение по-умолчанию соответствует стандарту использования флага URG -- BSD 4.2, описанному в RFC 793. Если эта переменная включена, то возможны сбои при работе с отдельными узлами Интернета, точнее -- с узлами, которые придерживаются стандарта BSD 4.2. За дополнительной информацией обращайтесь к RFC 1122 - Requirements for Internet Hosts -- Communication Layers секция "4.2.2.4 Urgent Pointer: RFC 793 Section 3.1 explanation", где имеется ссылка на RFC 793 - Transmission Control Protocol.

Переменная принимает два значения -- 0 (выключено) и 1 (включено). Значение по-умолчанию -- 0 (выключено).

3.3.24. tcp_syn_retries

Количество попыток передачи SYN-пакета при установлении нового соединения.

Переменная принимает целое число, которое не должно устанавливаться больше чем 255, поскольку каждая повторная попытка отнимает значительное время. На каждую попытку отводится примерно 30-40 секунд. Значение по-умолчанию -- 5, что соответствует, примерно, 180 секундам.

3.3.25. tcp_synack_retries

Количество попыток передачи SYN,ACK-пакета в ответ на SYN-запрос. Другими словами -- максимальное число попыток установить пассивное TCP-соединение, инициированное другим хостом.

Переменная принимает целое число, которое не должно устанавливаться больше чем 255 по тем же причинам, что и в случае с переменной tcp_syn_retries. Значение по-умолчанию -- 5.

3.3.26. tcp_syncookies

Разрешает/запрещает передачу так называемых syncookies вызывающему хосту в случае переполнения очереди SYN-пакетов для заданного сокета. Когда в систему поступает слишком много запросов на соединение, то очередь может переполниться и тогда запускается передача syncookies в ответ на каждый SYN-запрос.

Эта переменная используется для предотвращения syn-flood атак. Переменная может принимать два значения -- 0 (выключено) и 1 (включено). Значение по-умолчанию -- 0 (выключено).

Эта функция будет работать только в том случае, если ядро собрано с опцией CONFIG_SYN_COOKIES. (прим. перев.)
Caution

В прошлом было много дискуссий по поводу проблем и недостатков, связанных с syncookies. Лично я рассматриваю эту возможность как достаточно удобную и безопасную. Однако, в некоторых случаях, использование этой опции может представлять некоторую угрозу, см. ниже.

Опция tcp_syncookies подразумевает, что на системах с высокой нагрузкой новые соединения будут устаналиваться без таких "фишек", как ECN и SACK. Если передача syncookies срабатывет при невысоких нагрузках, то вам следует подкорректировать параметр, задающий длину очереди.

Не следует использовать эту возможность на системах с высокой нагрузкой. Если в системный журнал поступают предупреждения о syn flood для вполне законных соединений, то можете попробовать подстроить переменные tcp_max_syn_backlog, tcp_synack_retries и tcp_abort_on_overflow.

3.3.27. tcp_timestamps

Разрешает/запрещает использование временных меток (timestamps), в соответствии с RFC 1323. Если коротко, то это расширение TCP используется для расчета Round Trip Measurement (определение времени возврата) лучшим способом, нежели метод Retransmission timeout (RTO). Эта опция должна сохранять обратную совместимость в большинстве случаев, так что лучше оставить ее включенной, особенно если вы работаете в высокоскоростной сети (например LAN или 10mb Интернет). В случае низкоскоростного оединения (скажем модемное) -- вы прекрасно обойдетесь и без этой опции, и будет даже лучше, если вы ее отключите.

Переменная может принимать два значения -- 0 (выключено) и 1 (включено). Значение по-умолчанию -- 1 (включено).

Более подробную информацию вы найдете в секции 4 документа RFC 1323 - TCP Extensions for High Performance.

3.3.28. tcp_tw_recycle

Разрешает/запрещает быструю утилизацию сокетов, находящихся в состоянии TIME-WAIT. Если вы не уверены в своих действиях, то вам лучше не трогать эту переменную.

Переменная принимает целое число (а не булевское -- из моего опыта и моего понимания исходных текстов ядра следует, что описание переменной в linux/Documentation/ip-sysctl.txt содержит ошибку, если я не ошибаюсь). Значение по-умолчанию -- 0.
Caution

Не изменяйте эту переменную, если вы не уверены в своих действиях или не получили совет от опытных экспертов по ядру.

3.3.29. tcp_window_scaling

Разрешает/запрещает масштабирование TCP-окна, как определено в RFC 1323. В этом документе описано как производится масштабирование TCP-окна при передаче по Large Fat Pipes (LFP -- "толстый" канал). При передаче TCP-пакетов по "толстым" каналам возникают существенные потери пропускной способности из-за того, что они не загружены полностью во время ожидания подтверждения о приеме предыдущего TCP-окна. Основная проблема состоит в том, что окно не может иметь размер больше, чем 2**16 байт (65 Кб). Разрешая масштабирование TCP-окна мы, тем самым, можем увеличить его размер и таким образом уменьшить потери пропускной способности.

Переменная может принимать два значения -- 0 (выключено) и 1 (включено). Значение по-умолчанию -- 1 (включено).

Дополнительную информацию по этой теме вы найдете в RFC 1323 - TCP Extensions for High Performance.

3.3.30. tcp_wmem

Переменная содержит три числа, которые используются при управлении размерами буферов передачи, выделяемых для каждого сокета. Каждое из значений используется при определенных условиях.

Первое значение -- минимальный размер буфера передачи для каждого сокета. Системой гарантируется выделение этого пространства при открытии сокета. Обычно это значение равно 4096 байт.

Второе значение -- размер передающего буфера по-умолчанию. При попытке увеличить размер буфера передачи больше этого ограничения, приложение может столкнуться с "нежеланием" системы выделения большего объема памяти при тяжелых нагрузках. Это может даже привести к потере пакетов при очень высоких нагрузках. Значение по-умолчанию -- 16384 байт, или 16 Кб. Будет неразумным попытаться увеличить это значение. Этот параметр перекрывается переменной /proc/sys/net/core/wmem_default, которая используется другими протоколами и, как правило, tcp_wmem должна быть меньше чем /proc/sys/net/core/wmem_default.

Третье значение -- максимальный размер буфера передачи для отдельного сокета. По-умолчанию -- 131072 байт, или 128 Кб. Это достаточно разумное значение и в большинстве случаев вам едва ли придется корректировать его. Однако, если вам придется его увеличивать -- помните о существовании переменной /proc/sys/net/core/wmem_max, которая должна быть всегда больше чем tcp_wmem.
Tip

Эта переменная может дать некоторый прирост производительности на "толстых" каналах, если достаточно корректно используется вместе с переменными tcp_mem и tcp_rmem. tcp_wmem дает наибольший прирост производительности из этих трех переменных. Замечу при этом, что вы практически не получите никакого выигрыша в сетях со скоростью передачи менее 1 Гб. Дополнительную информацию, по настройке переменных, вы найдете в TCP Tuning Guide.

3.4. Переменные ICMP

Эти переменные управляют поведением протокола ICMP. Они достаточно просты и их понимание не должно вызывать затруднений, которые могут возникнуть при изучении TCP-переменных. Главным образом они отвечают за реакцию ядра на различные типы ICMP-сообщений.

3.4.1. icmp_echo_ignore_all

Переменная может принимать два значения -- 0 (выключено) и 1 (включено). Значение по-умолчанию -- 0 (выключено). Если в переменную записана 1, то ядро просто игнорирует все ICMP Echo запросы и тогда никто не сможет ping-нуть вашу машину, чтобы проверить ее наличие в сети, что само по себе не есть хорошо. Однако, у каждого из нас может быть свое собственное мнение по поводу этой опции. С одной стороны -- окружающие лишены возможности проверить ваше присутствие в сети, с другой -- существует масса приложений, которые используют ICMP Echo запросы далеко не в благовидных целях. Вобщем все как всегда -- что-то плохо, а что-то хорошо.

3.4.2. icmp_echo_ignore_broadcasts

Эта переменная очень близка по смыслу к icmp_echo_ignore_all, только в данном случае будут игнорироваться ICMP сообщения, отправленные на широковещательный или групповой адрес. Вполне очевидно, почему полезно включить этот параметр -- защита от smurf атак.

Переменная может принимать два значения -- 0 (выключено) и 1 (включено). Значение по-умолчанию -- 0 (выключено).

3.4.3. icmp_ignore_bogus_error_responses

Отдельные маршрутизаторы, вопреки стандартам, описанным в RFC 1122, отправляют фиктивные ответы в широковещательном диапазоне. Обычно эти ошибки заносятся в системный журнал. Если вы не желаете регистрировать их, то включите этот параметр и тем самым сбережете некоторый объем дискового пространства в своей системе.

Переменная может принимать два значения -- 0 (выключено) и 1 (включено). Значение по-умолчанию -- 0 (выключено).

3.4.4. icmp_ratelimit

Максимальная частота генерации ICMP-пакетов с типом, указанным в icmp_ratemask (см. icmp_ratemask). Это значение задается в "тиках" и устанавливает временной интервал между ICMP-посылками. Таким образом, значение 0 означает отсутствие ограничений. Обычно 1 "тик" равен 0.01 секунды, так значение 1 в этой переменной ограничивает скорость передачи не более 100 посылок в секунду, а значение 100 -- не более 1 посылки в секунду.

Значение по-умолчанию -- 100, что означает не более 1 ICMP посылки за интервал в 100 "тиков".

3.4.5. icmp_ratemask

Маска ICMP типов, на которые накладывается ограничение по частоте генерации переменной icmp_ratelimit. Каждый из ICMP типов маскируется своим битом.

icmp_ratemask -- это битовая маска, где каждый ICMP тип представлен своим битом. Соответствие между символическим названием ICMP типа и его порядковым номером вы найдете в заголовочном файле netinet/ip_icmp.h (обычно это /usr/include/netinet/ip_icmp.h). За дополнительной информацией обращайтесь к RFC 792 - Internet Control Message Protocol. Математически маска определяется так:

где n принимает значения всех типов ICMP, которые должны быть ограничены.

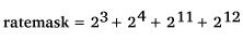
Например: Ограничим передачу ICMP Destination Unreachable сообщений. В /usr/include/netinet/ip_icmp.h этому типу соответствует число 3. Подсчитаем значение 2**3, что равно 8. Теперь нужно прибавить это число к имеющейся битовой маске. Допустим, что маска уже равна числу 6160 (в двоичном виде 0001100000010000), тогда результирующая маска получится: 6160 + 8 = 6168 (в двоичном виде 0001100000011000).
Caution

Перед добавлением маски подобным образом убедитесь сначала, что нужный вам бит сброшен, иначе вы получите неверную маску! К примеру, если у вас маска является числом 256 и вы еще добавите число 256, то это приведет к размаскированию ICMP Echo Request и маскировке 9-го отсутствующего типа ICMP.

Значение по-умолчанию -- 6168 (в двоичном виде 0001100000011000), что подразумевает наложение ограничений на ICMP Destination Unreachable, ICMP Source Quench, ICMP Time Exceeded и ICMP Parameter Problem, где ICMP Destination Unreachable = 3, ICMP Source Quench = 4, ICMP Time Exceeded = 11 и ICMP Parameter Problem = 12. Таким образом, значение по-умолчанию соответствует выражению:
Note

Злоумышленник может "заставить" некоторый маршрутизатор или хост "затопить" жертву ICMP-посылками, передаваемыми в ответ на поддельный ICMP пакет с обратным адресом жертвы. Поэтому очень важно ограничить частоту генерации отдельных видов ICMP-сообщений.

Tip

На сайте http://www.frozentux.net вы сможете найти небольшую программу ratemask, которая может оказаться полезной при создании маски для переменной icmp_ratemasks или для дешифрации существующей маски.

3.4.6. igmp_max_memberships

Максимальное число групп на каждый сокет. Значение по-умолчанию -- 20 и может быть изменено по мере необходимости.

Fixme: NEED MORE DETAILS!!!

3.5. Переменные в каталоге conf/

Каталог /proc/sys/nrt/ipv4/conf содержит несколько подкаталогов, которые в свою очередь содержат ряд настроек, которые могут быть изменены. Если вы посмотрите на содержимое каталога conf/, то увидите, что здесь находятся подкаталоги с именами, соответствующими названиям существующих в системе сетевых интерфейсов, например: eth0, tr0 или lo. Кроме того, здесь же вы найдете каталоги all и default. Содержимое каталога conf/ выглядит примерно так:

root@firewall:/proc/sys/net/ipv4/conf# ls -l
total 0
dr-xr-xr-x    2 root     root            0 May  1 20:04 all/
dr-xr-xr-x    2 root     root            0 May  1 20:04 default/
dr-xr-xr-x    2 root     root            0 May  1 20:04 eth0/
dr-xr-xr-x    2 root     root            0 May  1 20:04 eth1/
dr-xr-xr-x    2 root     root            0 May  1 20:04 eth2/
dr-xr-xr-x    2 root     root            0 May  1 20:04 eth3/
dr-xr-xr-x    2 root     root            0 May  1 20:04 lo/
root@firewall:/proc/sys/net/ipv4/conf#
  

В данном случае, в системе имеется 4 различных сетевых интерфейса (eth0-3) и один локальный (lo) интерфейс. Практически в любой UNIX-подобной ОС присутствует интерфейс lo, поскольку он является составной частью сетевой подсистемы.

3.5.1. Различия между conf/DEV/, conf/all/ и conf/default/

Каталог /conf/DEV/, где под DEV следует понимать название того или иного устройства, содержит настройки для конкретного сетевого интерфейса. Настройки из каталога conf/all/ применяются ко ВСЕМ сетевым интерфейсам.

И наконец каталог conf/default/ содержит значения по-умолчанию. Они не влияют на настройки существующих интерфейсов, но используются для первоначальной настройки вновь устанавливаемых устройств.

3.5.2. accept_redirects

Переменная управляет приемом ICMP-сообщений о переадресации. Сообщения ICMP Redirect ... используются для уведомления маршрутизаторов или хостов о существовании лучшего маршрута движения пакетов к заданному хосту, который (маршрут) может быть быстрее или менее загружен.

Переменная может иметь два значения -- 0 (выключено -- сообщения о переадресации игнорируются) и 1 (включено -- сообщения о переадресации принимаются). Значение по-умолчанию -- 1 (включено), однако я посоветовал бы отключать эту опцию, поскольку она далеко небезопасна. В подавляющем большинстве случаев необходимость в переадресации отсутствует, поэтому лучше держать эту переменную выключенной, если конечно вы на 100% не уверены в обратном.

3.5.3. accept_source_route

Переменная разрешает/запрещает "маршрутизацию от источника". Маршрутизация от источника весьма небезопасна. Дополнительную информацию по этой темы вы сможете почерпнуть из ip-param.txt.

Переменная может иметь два значения -- 0 (выключено) и 1 (включено). Значение по-умолчанию -- 1 (включено).

3.5.4. arp_filter

Включает/выключает связывание IP-адреса с ARP-адресом. Если эта опция включена, то ответ будет передаваться через тот интерфейс, через который поступил запрос. В принципе, было бы не плохо, если бы ответы исходили через тот же интерфейс, через который был получен запрос, однако, в отдельных случаях, это может стать причиной ошибок.

Обычно включение этой опции необходимо только в том случае, если на вашем хосте производится управление распределением нагрузки между сетевыми интерфейсами. Значение по-умолчанию -- 0 (выключено), поскольку эта опция идет немного вразрез с современным пониманием принципов IP-адресации. Ранее IP-адреса рассматривались как путь к некоторому устройству, в смысле аппаратуры, теперь же их следует рассматривать как отдельную службу доставки, которая должна выдавать ответы на запросы вне зависимости от того на какой интерфейс эти запросы были получены.
Tip

Дополнительную информацию по данной тематике вы найдете в Guide to IP Layer Network Administration with Linux.

3.5.5. bootp_relay

Переменная разрешает/запрещает форвардинг пакетов с исходящими адресами 0.b.c.d. Демон BOOTP relay должен перенаправлять эти пакеты на корректный адрес.

Переменная может иметь два значения -- 0 (выключено) и 1 (включено). Значение по-умолчанию -- 0 (выключено).
Caution

Обработка переменной bootp_relay еще не реализована. Если вы желаете предложить свою реализацию -- милости просим! С этой целью можете вступить в контакт с командой разработчиков netdev mailinglist.

3.5.6. forwarding

Включает/отключает функцию форвардинга (передачу транзитных пакетов) между сетевыми интерфейсами. Переменные conf/DEV/forwarding могут использоваться для включения/выключения функции форвардинга для отдельных интерфейсов. Переменная может иметь два значения -- 0 (выключено) и 1 (включено). По-умолчанию все переменные conf/DEV/forwarding принимают значение равное ipv4/ip_forward так, если эту переменную включить, то и все переменные conf/DEV/forwarding будут включены, если ее выключить, то и переменные conf/DEV/forwarding окажутся выключены.

3.5.7. log_martians

Переменная включает/выключает функцию журналирования всех пакетов, которые содержат неправильные (невозможные) адреса (так называемые martians -- "марсианские" пакеты). Под невозможными адресами, в данном случае, следует понимать такие адреса, которые отсутствуют в таблице маршрутизации.
Caution

В некоторых ситуациях эта опция позволит получить дополнительную информацию, но вы должны понимать, что эта информация не так подробна как можно было бы подумать. Основными причинами, порождающими записи в системном журнале, могут быть: невозможность переадресации; плохая классификация; ограничения на широковещательные сообщения, или несоответствия в Forwarding Information Base (FIB).

Переменная может иметь два значения -- 0 (выключено) и 1 (включено). Значение по-умолчанию -- 0 (выключено).

3.5.8. mc_forwarding

Включает/выключает поддержку маршрутизации групповых рассылок для заданного интерфейса. Кроме того, чтобы иметь поддержку маршрутизации групповых рассылок, необходимо собрать ядро с включенной опцией CONFIG_MROUTE. Дополнительно в системе должен иметься демон, осуществляющий групповую маршрутизацию. Его вы можете получить с FTP-сайта AT&T Research.. Этот демон реализует протокол DVMRP (от англ. Distance Vector Multicast Routing Protocol -- протокол маршрутизации групповых рассылок типа "вектор-расстояние"). Еще один демон маршрутизации групповых рассылок доступен на сайте PIMd. Это реализация "разреженного" протокола PIM (от англ. Protocol Independent Multicast -- протокол маршрутизации групповых рассылок, независимый от используемого протокола маршрутизации), или PIM-SM. Там же вы найдете ссылки на другие реализации протоколов PIM-DM (Protocol Independent Multicast-Dense Mode -- протокол маршрутизации групповых рассылок, независимый от используемого протокола маршрутизации, "уплотненного" режима) и PIM-SM (Protocol Independant Multicast-Sparse Mode -- протокол маршрутизации групповых рассылок, независимый от используемого протокола маршрутизации, "разреженного" режима). Дополнительную информацию по групповой адресации вы найдете в Multicast HOWTO.

Групповая адресация используется в тех случаях, когда необходимо выполнить доставку информации сразу к нескольким пунктам назначения. Например, WEB-страничка передается отдельно каждому, кто ее запросил, а если несколько человек решили принять участие в видеоконференции? Есть два пути реализации доставки. Либо каждому участнику отдавать отдельный поток данных (тогда трафик будет таким огромным, что для него может просто не хватить пропускной способности канала), либо использовать групповую рассылку. В этом случае отправитель создает одну дейтаграмму с групповым адресом назначения, по мере продвижения через сеть дейтаграмма будет дублироваться только на "развилках" маршрутов от отправителя к получателям.

Переменная может иметь два значения -- 0 (выключено) и 1 (включено). Значение по-умолчанию -- 0 (выключено). Обратите внимание -- нет никакой необходимости включать эту опцию, если вы желаете лишь получать групповые пакеты. Она необходима только если вы собираетесь перенаправлять групповой трафик через вашу систему.

3.5.9. proxy_arp

Включает/выключает проксирование arp-запросов для заданного интерфейса. ARP-прокси позволяет маршрутизатору отвечать на ARP запросы в одну сеть, в то время как запрашиваемый хост находится в другой сети. С помощью этого средства происходит "обман" отправителя, который отправил ARP запрос, после чего он думает, что маршрутизатор является хостом назначения, тогда как в действительности хост назначения находится "на другой стороне" маршрутизатора.

Маршрутизатор выступает в роли уполномоченного агента хоста назначения, перекладывая пакеты от другого хоста.

Переменная может иметь два значения -- 0 (выключено) и 1 (включено). Значение по-умолчанию -- 0 (выключено). Дополнительную информацию вы найдете в Proxy-ARP mini HOWTO.

3.5.10. rp_filter

Включает/выключает reverse path filter ("проверка обратного адреса" -- хотя это слишком вольный перевод термина, но мне он кажется наиболее близким по смыслу. прим. перев.) для заданного интерфейса. Смысл этой переменной достаточно прост -- все что поступает к нам проходит проверку на соответствие исходящего адреса с нашей таблицей маршрутизации и такая проверка считается успешной, если принятый пакет предполагает передачу ответа через тот же самый интерфейс.
Caution

Если вы используете расширенную маршрутизацию тем или иным образом, то вам следует всерьез задуматься о выключении этой переменной, поскольку она может послужить причиной потери пакетов. Например, в случае, когда входящий трафик идет через один маршрутизатор, а исходящий -- через другой. Так, WEB-сервер, подключенный через один сетевой интерфейс к входному роутеру, а через другой -- к выходному (в случае, когда включен rp_filter), будет просто "терять" входящий трафик, поскольку обратный маршрут, в таблице маршрутизации, задан через другой интерфейс.

Переменная может иметь два значения -- 0 (выключено) и 1 (включено). Значение по-умолчанию -- 0 (выключено). Однако в некоторых дистрибутивах по-умолчанию эта переменная включается в стартовых скриптах на этапе загрузки. Поэтому, если у вас эта переменная включена, а вам надо ее выключить -- просмотрите стартовые скрипты в каталоге rc.d.
Tip

Более детальную информацию об этой переменной вы найдете в RFC 1812 - Requirements for IP Version 4 Routers на страницах 46-49 (секция 4.2.2.11), странице 55 (секция 4.3.2.7) и странице 90 (секция 5.3.3.3). Если вы всерьез занимаетесь проблемами маршрутизации, то вам определенно придется изучить этот документ.

3.5.11. secure_redirects

Включает/выключает режим безопасной переадресации. Если переменная выключена, то будут приниматься любые сообщения ICMP Redirect ... от любого хоста из любого места. Если переменная включена, то сообщения о переадресации будут восприниматься только от тех шлюзов (gateways), которые имеются в списке шлюзов по-умолчанию. С помощью этой опции можно избежать большинства ложных переадресаций, которые могут быть использованы для перехвата трафика.

Переменная может иметь два значения -- 0 (выключено) и 1 (включено). Значение по-умолчанию -- 1 (включено). Обратите внимание -- действие этой переменной отменяется переменной shared_media, так что, если вы включаете secure_redirects, то необходимо включить и shared_media.

3.5.12. send_redirects

Включает/выключает выдачу ICMP Redirect ... другим хостам. Эта опция обязательно должна быть включена, если хост выступает в роли маршрутизатора любого рода. Как правило ICMP-сообщения о переадресации отправляются в том случае, когда необходимо сообщить хосту о том, что он должен вступить в контакт с другим сервером.

Переменная может иметь два значения -- 0 (выключено) и 1 (включено). Значение по-умолчанию -- 1 (включено). Если компьютер не выступает в роли маршрутизатора, то эту переменную можно отключить.

3.5.13. shared_media

Включает/выключает признак того, что физическая сеть является носителем нескольких логических подсетей, например, когда на одном физическом кабеле организовано несколько подсетей с различными сетевыми масками. Этот признак используется ядром при принятии решения о необходимости выдачи ICMP-сообщений о переадресации.

Переменная может иметь два значения -- 0 (выключено) и 1 (включено). Значение по-умолчанию -- 0 (выключено). Эта переменная перекрывает действие переменной secure_redirects.

3.6. Neigh reference

3.7. Переменные Netfilter

Все переменные, расположенные в /proc/sys/net/ipv4/netfilter/ связаны с функциональностью netfilter и iptables. Эти переменные пока еще не являются частью основного ядра, но предполагается, что они будут включены в него в ближайшем будущем. Если вы желаете иметь эти настройки у себя, то вам необходимо пропатчить ядро заплатой tcp-window-tracking, которая входит в состав пакета iptables patch-o-matic. Наложение заплат выполняется командой make patch-o-matic KERNEL_DIR=/usr/src/linux из каталога, куда предварительно должен быть развернут пакет patch-o-matic.

Раньше отдельные регулировки и настройки приходилось вносить прямо в исходные тексты, а затем пересобирать ядро. Теперь же, с указанными дополнениями, все становится намного проще, можно "на лету" управлять настройками сетевого фильтра (netfilter) и трассировщика соединений.

В этом разделе будут рассматриваться переменные, которые становятся доступны после пересборки ядра с добавленными дополнениями. Все значения переменных, которые управляют различными временными интервалами, измеряются в "тиках" (для архитектуры i386 -- 1 "тик" = 1/100 сек.).

3.7.1. ip_ct_generic_timeout

Переменная содержит время таймаута для тех случаев, когда трассировщик не в состоянии определить тип протокола, для которого имеется свое характерное время таймаута. Для любого потока, идущего через брандмауэр и для которого не может быть определен протокол, устанавливается значение таймаута из этой переменной.

Переменная принимает целое число. Значение по-умолчанию -- 600 секунд, или 10 минут. Если это значение в вашем случае окажется недостаточно большим -- попробуйте постепенно увеличивать его до тех пор, пока соединения не станут достаточно стабильными.

3.7.2. ip_ct_icmp_timeout

Переменная содержит время таймаута для ICMP-пакетов, т.е. для пар пакетов Echo request и Echo reply, Timestamp request и Timestamp reply, Information request и Information reply и наконец Address mask request и Address mask reply. Другими словами предполагается, что после получения ICMP-запроса, ICMP-ответ должен пройти в течение указанного времени.

Как правило, ICMP-отклики поступают достаточно быстро, в пределах нескольких секунд, поэтому величина таймаута для ICMP-трафика несколько ниже -- примерно 30 секунд. Этой величины вполне достаточно, если не говорить об очень неустойчивых соединениях.

3.7.3. ip_ct_tcp_be_liberal

Эта переменная отвечает за поведение трассировщика TCP-соединений по отношению к пакетам, пришедшим вне пределов TCP-окна. Если переменную выключить, то всем таким пакетам будет присваиваться признак INVALID. Если переменную включить -- то политика трассировщика станет более либеральной, исключение составляют лишь RST-пакеты, которым по-прежнему будет присваиваться признак INVALID, если они пришли за пределами TCP-окна. Наилучший вариант -- выключать эту опцию и включать ее только в особенных случаях.

Переменная может принимать два значения -- 0 (выключено) и 1 (включено). Значение по-умолчанию -- 0 (выключено).

3.7.4. ip_ct_tcp_log_invalid_scale

Включает/выключает журналирование пакетов с ошибочным значением масштаба TCP-окна. Масштабирование окна -- это специфическая особенность, имеющаяся в современных реализациях TCP. Она детально описана в RFC 1323 - TCP Extensions for High Performance. Если масштаб окна был признан ошибочным, то такой пакет будет занесен в журнал.

Переменная может принимать два значения -- 0 (выключено) и 1 (включено). Значение по-умолчанию -- 1 (включено). Однако, если у вас возникают проблемы при взаимодействии с системами, имеющими очень древнюю реализацию TCP и, как следствие, заполнение системного журнала предупреждениями, то можете отключить эту опцию.

3.7.5. ip_ct_tcp_log_out_of_window

Включает/выключает журналирование пакетов, пришедших вне пределов TCP-окна. Обычно эта опция используется совместно с описанной выше переменной ip_ct_tcp_be_liberal. Все пакеты, пришедшие вне TCP-окна, в зависимости от значения переменной ip_ct_tcp_be_liberal, будут заноситься в системный журнал, если переменная ip_ct_tcp_log_out_of_window будет включена.

Переменная может принимать два значения -- 0 (выключено) и 1 (включено). Значение по-умолчанию -- 1 (включено). Однако, если в системный журнал поступает слишком много подобных предупреждений, а вы не в состоянии ликвидировать ошибки, порождающие эти сообщения, то можете отключить эту опцию.

3.7.6. ip_ct_tcp_timeout_close

Переменная содержит время таймаута для состояния CLOSE, как это определено в RFC 793 (подозреваю, что в данной ситуации автор имел ввиду не состояние CLOSE, а состояние CLOSING, поскольку состояние CLOSE в RFC 793 не определяется, прим. перев.). Когда клиент отправляет FIN-пакет серверу, затем получает FIN-пакет от сервера и отсылает подтверждение закрытия -- FIN/ACK-пакет, то соединение переводится в состояние CLOSE (см. прим. перев. выше). После прохождения заключительного FIN/ACK-пакета от сервера, соединение переводится в состояние TIME_WAIT. (Описываемая здесь ситуация называется "Одновременное закрытие соединения", т.е. когда закрытие соединения инициируется одновременно с обеих сторон. прим. перев)

Переменная принимает целое число. Значение по-умолчанию -- 1000 "тиков", или 10 секунд. Это достаточно большое значение, однако, если вы стали замечать, что соединения в этом состоянии обрываются по истечении таймаута, то вам следует попробовать увеличивать этот параметр до тех пор, пока эти проблемы не исчезнут.

3.7.7. ip_ct_tcp_timeout_close_wait

Переменная содержит время таймаута для состояния CLOSE-WAIT, которое так же определено в RFC 793. Соединение переводится в это состояние тогда, когда от клиента получен FIN-пакет и в ответ отправлен FIN/ACK-пакет. Это состояние длится до тех пор, пока клиенту не будет передан FIN-пакет со стороны сервера, после которого соединение перейдет в состояние LAST-ACK.

Значение по-умолчанию -- 43200 секунд, или 12 часов. Раньше, это значение составляло 60 секунд, но было пересмотрено из-за появления большого количества разрывов соединений по таймауту. Обычно этого времени вполне достаточно для выхода соединения из состояния CLOSE-WAIT, но если у вас возникают проблемы с переполнением таблицы трассировщика из-за большого количества соединений, находящихся в состоянии CLOSE-WAIT, то вам необходимо либо увеличить объем ОЗУ в системе, либо уменьшить этот параметр на несколько часов.

3.7.8. ip_ct_tcp_timeout_established

Переменная содержит время таймаута для соединений, находящихся в состоянии ESTABLISHED. Все соединения, которые благополучно миновали процедуру установления соединения, и по которым не было передано ни одного FIN-пакета, переходят в состояние ESTABLISHED. Другими словами -- это более или менее обычное состояние TCP-соединений.

Поскольку едва ли кто нибудь желает, чтобы установленное соединение было разорвано по таймауту, это время выбрано чрезвычайно большим -- 432000 секунд, или 5 суток.
Caution

Вам не следует уменьшать этот параметр, даже если у вас наблюдается слишком много активных соединений. Если у вас возникают проблемы из-за этого, то вам лучше пересмотреть код функции ip_conntrack_init в файле ip_conntrack_core.c, в которой жестко задаются ограничения на количество записей в таблице трассировщика. Такой жесткий подход является следствием того, что эта таблица не может быть выгружена в своп (swap-memory).

3.7.9. ip_ct_tcp_timeout_fin_wait

Переменная содержит время таймаута для состояний FIN-WAIT-1 и FIN-WAIT-2, описанных в RFC 793. Состояние FIN-WAIT-1 устанавливается после того как серверу будет передан FIN-пакет, а состояние FIN-WAIT-2 после получения FIN/ACK-пакета от сервера. Если от сервера FIN-пакет приходит раньше, чем FIN/ACK-пакет (ситуация "одновременного закрытия соединения" прим. перев.), то вместо состояния FIN-WAIT-2 устанавливается состояние CLOSING.

Значение по-умолчанию -- 120 секунд, или 2 минуты. Это значение достаточно для большинства случаев, но может быть несколько увеличено, если соединения разрываются по таймауту из-за задержек на брандмауэре. Естественно, если у вас возникают проблемы с переполнением таблицы трассировщика, то это значение можно попробовать уменьшить, но не настолько, чтобы не позволить выплнить полную процедуру закрытия соединения с обеих концов.

3.7.10. ip_ct_tcp_timeout_last_ack

Переменная содержит время таймаута для состояния LAST-ACK. Это состояние устанавливается после того, как сервер отправил FIN-пакет клиенту после получения FIN-пакета от клиента и передачи ему FIN/ACK-пакета. Это состояние устанавливается после CLOSE-WAIT состояния, когда ожидается прибытие заключительного FIN/ACK-пакета, после чего запись в таблице трассировщика уничтожается, и устанавливается состояние CLOSED.

Значение по-умолчанию -- 30 секунд. Этого времени более чем достаточно для того, чтобы получить заключительный FIN/ACK-пакет, однако, в отдельных случаях, его может и не хватить. В этой ситуации можете попробовать несколько увеличить это значение. Если у вас возникают проблемы с переполнением таблицы трассировщика, то это значение можно попробовать уменьшить, но не настолько, чтобы не оборвать процедуру закрытия соединения по таймауту.

3.7.11. ip_ct_tcp_timeout_listen

Переменная содержит время таймаута для состояния LISTEN. Состояние LISTEN -- это начальное состояние всех сокетов, согласно RFC 793, которые ожидают установления соединения. Трассировщик ничего не знает об этом состоянии, поскольку он не делает никаких предположений при отсутствии какого либо трафика. Тем не менее эта переменная была введена для сохранения соответствий с RFC 793, а возможно и по ряду других причин, имеющихся у основной команды разработчиков netfilter.

Значение по-умолчанию -- 120 секунд, или 2 минуты. Это значение может быть уменьшено до нуля, если вы сочтете это необходимым, однако это может повлечь за собой весьма странное поведение трассировщика. С другой стороны, поскольку эта переменная никогда не используется, то не имеет особого смысла менять значение по-умолчанию.

3.7.12. ip_ct_tcp_timeout_none

Эта переменная используется в течение чрезвычайно короткого периода времени и предшествует моменту, когда трассировщик определится с ответом на вопрос -- к какому состоянию отнести соединение. Например: брандмауэр никогда не "знает" наверняка в каком состоянии находится соединение, если он "увидел" его впервые. Когда через трассировщик проходит первый пакет, то соединению присваивается статус NONE. После этого трассировщик пытается определить -- к какому состоянию следует отнести этот пакет, в соответствии с RFC 793. В зависимости от комбинации TCP-флагов, пакет может быть отнесен к состоянию SYN-SENT, ESTABLISHED, TIME-WAIT или CLOSING.

Согласно изложенному выше, можно утверждать, что соединение практически никогда не находится в состоянии NONE или, если быть более точным -- это состояние длится очень и очень короткий промежуток времени. Проще говоря -- нет никакой необходимости как либо изменять значение этой переменной, поскольку она практически не используется, потому что в большинстве случаев, практически никогда не возникает осложнений при выходе из этого состояния.

Значение по-умолчанию -- 1800 секунд, или 30 минут.

3.7.13. ip_ct_tcp_timeout_syn_recv

Эта переменная определяет время таймаута для состояния SYN-RECEIVED (известному так же как SYN-RCVD или SYN-RECV), согласно RFC 793. Это состояние наступает вслед за состоянием LISTEN или SYN-SENT после того, как сервер принял пакет SYN и ответил на него SYN/ACK-пакетом. Это состояние предшествует состоянию ESTABLISHED, которое, в свою очередь, наступает после получения, завершающего процедуру установления соединения, ACK-пакета.

Значение по-умолчанию -- 60 секунд, или 1 минута. Это достаточно большое значение, однако, если вы постоянно сталкиваетесь с ситуацией истечения таймаута состояний SYN-RECV или SYN-SENT, то можете попробовать несколько увеличить это значение. И совершенно недопустимо уменьшение этой переменной, поскольку это сразу же повлечет за собой проблемы при попытке установления соединений.

3.7.14. ip_ct_tcp_timeout_syn_sent

Эта переменная определяет время таймаута для состояния SYN-SENT. Это состояние устанавливается после того, как клиент передаст SYN-пакет и перейдет в ожидание ответного SYN/ACK-пакета. Состояние SYN-SENT предшествует состоянию SYN-RCVD или ESTABLISHED, которое наступает после приема пакета SYN/ACK.

Значение по-умолчанию -- 120 секунд, или 2 минуты. Это достаточно большое значение, однако, если вы сталкиваетесь с проблемами, связанными с превышением таймаута состояния SYN-SENT, то можно попробовать увеличить этот параметр. И совершенно недопустимо уменьшение этой переменной, поскольку это сразу же повлечет за собой проблемы при попытке установления соединений.

3.7.15. ip_ct_tcp_timeout_time_wait

Эта переменная определяет время таймаута для состояния TIME-WAIT, согласно RFC 793. Это последнее из возможных состояний в TCP-соединениях. После закрытия соединения с обеих сторон, и сервер и клиент переходят в состояние TIME-WAIT для того, чтобы дать время на прохождение "опоздавших" пакетов. "Опоздавшие" пакеты могут появиться в результате нарушения порядка прохождения пакетов по сети, т.е. в конечную точку пакеты приходят не в том порядке в каком они были отправлены. По истечении этого таймаута запись в таблице трассировщика, соответствующая закрытому соединению, уничтожается и соединеиние переводится в состояние CLOSED. (Пусть вас не сбивает с толку фраза "соединеиние переводится в состояние CLOSED", на самом деле это несуществующее соединение, в системе полностью отсутствует информация о таких соединениях, проще говоря -- это псевдосостояние, обозначающее то, чего нет на самом деле! прим. перев.)

Значение по-умолчанию -- 120 секунд, или 2 минуты. Не рекомендуется изменять это значение. Однако, для коммутируемых линий, для линий с низкой пропускной способностью, где очень часто нарушается порядок прохождения пакетов, эта величина может оказатьсь слишком маленькой, что может привести к потере скачиваемой информации. В этом случае вам определенно потребуется увеличить время таймаута TIME-WAIT. Если у вас никогда не возникало подобного рода проблем, то можно немного уменьшить этот параметр, чтобы таблица трассировщика быстрее освобождалась от таких записей.

3.7.16. ip_ct_udp_timeout

Эта переменная определяет время таймаута прохождения нескольких начальных UDP-пакетов. Когда приходит первый UDP пакет, то он получает статус NEW, а как только через трассировщик пройдет обратный пакет -- UDP-соединению присваивается статус ESTABLISHED, но таймаут продолжает действовать. После того, как через соединение пройдет туда-обратно несколько UDP-пакетов, то для него, в таблице трассировщика, устанавливается флаг ASSURED (уверенное соединение прим. перев.) и таймаут перестает действовать.

Значение по-умолчанию -- 30 секунд. Если вы используете UDP протокол для передачи небольших блоков данных, следующих через длительные интервалы времени, то скорее всего вам придется увеличить это значение. И совершенно недопустимо уменьшение таймаута в случаях, когда довольно часто выполняется передача данных по протоколу UDP, порождающая "запоздалый" ответный трафик -- это может привести к заполнению таблицы трассировщика ненужными записями.

3.7.17. ip_ct_udp_timeout_stream

Эта переменная определяет время таймаута для UDP-потока, получившего признак ASSURED (см. выше). Этот признак обычно присваивается UDP-соединениям, через которые ведется довольно активный обмен, примерами могут служить разного рода потоковые сервисы или ICQ. Значение этой переменной всегда должно быть больше, чем ip_ct_udp_timeout, поскольку речь может идти о UDP-потоках, по которым передается большое количество данных, пусть даже и со значительными перерывами.

Значение по-умолчанию -- 180 секунд, или 3 минуты. Если у вас возникают проблемы, связанные с истечением этого таймаута -- попробуйте немного увеличить его. Не следует уменьшать этот таймаут, поскольку это может привести к обрыву обмена данными по таймауту. К сожалению, для протокола UDP не может быть определен полный набор состояний, поэтому трассировщик не имеет других видов таймаутов для UDP-потоков.

3.8. Route-переменные

Каталог route/ содержит, главным образом, переменные, связанные с маршрутизацией. Одни определяют максимальное количество генерируемых сообщений, другие -- управляют временными интервалами режима "сборки мусора" в кэше маршрутов.

3.8.1. error_burst

Переменная используется в паре с error_cost для ограничения количества генерируемых сообщений ICMP <Destination> Unreachable. Эта переменная несет в себе смысл верхнего предела "стоимости" передачи сообщений, в то время как error_cost обозначает "цену" одного сообщения. Когда error_burst "опустошается", то передача сообщений ICMP <Destination> Unreachable прекращается.
Note

Сообщения ICMP <Destination> Unreachable обычно отсылаются тогда, когда невозможно определить дальнейший маршрут движения пакета. Этому могут быть три причины:

  1. Невозможно выполнить передачу хосту.

  2. Не известен маршрут к заданному сегменту сети или хосту.

  3. Если данный маршрут запрещен набором правил маршрутизации.

В этих трех случаях сетевая подсистема генерирует сообщение ICMP <Destination> Unreachable, свое для каждого случая:

  1. ICMP Host Unreachable -- когда хост, находящийся в той же сети, что и наш роутер -- недоступен (т.е. не отвечает на ARP-запросы. прим. перев.).

  2. ICMP Network Unreachable -- когда в таблице маршрутизации роутера нет ни одного маршрута, по которому пакет мог бы быть отправлен дальше.

  3. ICMP Communication Administratively Prohibited By Filtering -- когда пакет не может быть переправлен из-за наличия правил маршрутизации явно запрещающих передачу.

Значение по-умолчанию -- 500. Учитывая значение по-умолчанию переменной error_cost (100) это соответствует 5-ти сообщениям ICMP Destination Unreachables в секунду.

3.8.2. error_cost

Более подробное описание см. выше error_burst. Основной смысл этой переменной -- "цена" одного сообщения ICMP Destination Unreachable.

Значение по-умолчанию -- 100, что подразумевает передачу не более 5-ти сообщений ICMP Destination Unreachable за 1 секунду (если расчет производить с учетом значения по-умолчанию переменной error_burst).

3.8.3. flush

Эта переменная очень проста в использовании. Она не содержит никаких реальных данных, поэтому попытка прочитать эту переменную не даст никаких результатов. Запись любой информации в эту переменную (само собой разумеется, запись может быть произведена только, если вы обладаете правами root) приведет к очистке кэша маршрутов. Просмотреть кэш маршрутов вы можете в /proc/net/rt_cache.

3.8.4. gc_elasticity

3.8.5. gc_interval

3.8.6. gc_min_interval

3.8.7. gc_thresh

3.8.8. gc_timeout

3.8.9. max_delay

3.8.10. max_size

3.8.11. min_adv_mss

3.8.12. min_delay

3.8.13. min_pmtu

3.8.14. mtu_expires

3.8.15. redirect_load

3.8.16. redirect_number

3.8.17. redirect_silence

IT-консалтинг Software Engineering Программирование СУБД Безопасность Internet Сети ОС Hardware

CITForum © 1997–2025